Tel:
+49 (0)241 95 163 153
Fax:
+49 (0)241 95 163 155
E-Mail:
orders@anticorps-enligne.fr

GATSL2 anticorps (N-Term)

Cet anticorps Lapin Polyclonal détecte spécifiquement GATSL2 dans WB et IHC (p). Il présente une réactivité avec des échantillons de Humain.
N° du produit ABIN1539214
434,77 €
Plus frais de livraison 40,00 € et TVA
Destination: France
Envoi sous 14 à 17 jours ouvrables

Aperçu rapide pour GATSL2 anticorps (N-Term) (ABIN1539214)

Antigène

GATSL2 (GATS Protein-Like 2 (GATSL2))

Reactivité

Humain

Hôte

  • 7
Lapin

Clonalité

  • 7
Polyclonal

Conjugué

  • 2
  • 1
  • 1
  • 1
  • 1
  • 1
Cet anticorp GATSL2 est non-conjugé

Application

  • 7
  • 6
  • 1
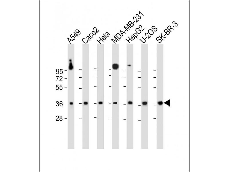
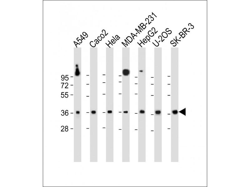
Western Blotting (WB), Immunohistochemistry (Paraffin-embedded Sections) (IHC (p))

Clone

RB30525
  • Épitope

    AA 25-51, N-Term

    Homologie

    B, M, Rat, X

    Purification

    This antibody is purified through a protein A column, followed by peptide affinity purification.

    Immunogène

    This GATSL2 antibody is generated from rabbits immunized with a KLH conjugated synthetic peptide between 25-51 amino acids from the N-terminal region of human GATSL2.

    Isotype

    IgG
  • Indications d'application

    WB: 1:1000. IHC-P-Leica: 1:250. IHC-P-Leica: 1:250

    Restrictions

    For Research Use only
  • Format

    Liquid

    Buffer

    Purified polyclonal antibody supplied in PBS with 0.09 % (W/V) sodium azide.

    Agent conservateur

    Sodium azide

    Précaution d'utilisation

    This product contains Sodium azide: a POISONOUS AND HAZARDOUS SUBSTANCE which should be handled by trained staff only.

    Stock

    4 °C,-20 °C

    Stockage commentaire

    GATSL1 Antibody (N-term) can be refrigerated at 2-8 °C for up to 6 months. For long term storage, keep at -20 °C.

    Date de péremption

    6 months
  • Antigène

    GATSL2 (GATS Protein-Like 2 (GATSL2))

    Autre désignation

    GATSL2

    Sujet

    The function of this protein remains unknown.

    Poids moléculaire

    36056

    ID gène

    389523

    UniProt

    A6NHX0
Vous êtes ici:
Chat with us!