Tel:
+49 (0)241 95 163 153
Fax:
+49 (0)241 95 163 155
E-Mail:
orders@anticorps-enligne.fr

CALCB Kit ELISA

Le kit ELISA CALCB (ABIN454623) Humain est un kit ELISA Colorimetric conçu pour quantifier Humain CALCB. Ce kit ELISA a été cité dans 1 publication.
N° du produit ABIN454623
828,14 €
Plus frais de livraison 40,00 € et TVA
96 tests
Destination: France
Envoi sous 13 à 17 jours ouvrables

Aperçu rapide pour CALCB Kit ELISA (ABIN454623)

Antigène

Voir toutes CALCB Kits ELISA
CALCB (Calcitonin-Related Polypeptide beta (CALCB))

Reactivité

  • 9
  • 3
  • 3
Humain

Méthode de détection

Colorimetric

Type de méthode

Sandwich ELISA

Gamme de detection

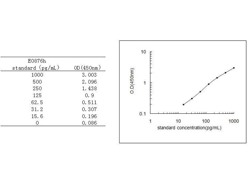
15.6-1000 pg/mL

Application

ELISA

Type d'échantillon

Cell Culture Supernatant, Plasma, Serum
  • Seuil minimal de détection

    15.6 pg/mL

    Fonction

    This immunoassay kit allows for the in vitro quantitative determination of human calcitonin gene related peptide, CGRP concentrations in cell culture supernates, serum, plasma and other biological fluids.

    Analytical Method

    Quantitative

    Specificité

    This assay recognizes recombinant and natural human CGRP.

    Réactivité croisée (Details)

    No significant cross-reactivity or interference was observed.

    Attributs du produit

    Homo sapiens,Human,Calcitonin gene-related peptide 2,Beta-type CGRP,Beta-CGRP,Calcitonin gene-related peptide II,CGRP-II,CALCB,CALC2

    Ingrédients

    Reagent (Quantity):
    • Assay plate (1),
    • Standard (2),
    • Sample Diluent (1×20 mL),
    • Assay Diluent A (1×10 mL),
    • Assay Diluent B (1×10 mL),
    • Detection Reagent A (1×120 μL),
    • Detection Reagent B (1×120 μL),
    • Wash Buffer(25 x concentrate) (1×30 mL),
    • Substrate (1×10 mL),
    • 2 Stop Solution (1×10 mL),
    • Plate sealer for 96 wells (5),
    • Instruction (1)

    Matériel non inclus

    Microplate reader. Pipettes and pipette tips. EP tube Deionized or distilled water.
  • Volume d'échantillon

    100 μL

    Plaque

    Pre-coated

    Protocole

    The microtiter plate provided in this kit has been pre-coated with an antibody specific to CGRP. Standards or samples are then added to the appropriate microtiter plate wells with a biotin-conjugated polyclonal antibody preparation specific for CGRP and Avidin conjugated to Horseradish Peroxidase (HRP) is added to each microplate well and incubated. Then a TMB substrate solution is added to each well. Only those wells that contain CGRP, biotin-conjugated antibody and enzyme-conjugated Avidin will exhibit a change in color. The enzyme-substrate reaction is terminated by the addition of a sulphuric acid solution and the color change is measured spectrophotometrically at a wavelength of 450 nm ± 2 nm. The concentration of CGRP in the samples is then determined by comparing the O.D. of the samples to the standard curve.

    Préparation des réactifs

    Bring all reagents to room temperature before use. Wash Buffer - If crystals have formed in the concentrate, warm to room temperature and mix gently until the crystals have completely dissolved. Dilute 30 mL of Wash Buffer Concentrate into deionized or distilled water to prepare 750 mL of Wash Buffer. Standard - Reconstitute the Standard with 1.0 mL of Sample Diluent. This reconstitution produces a stock solution. Allow the standard to sit for a minimum of 15 minutes with gentle agitation prior to making serial dilutions (Making serial dilution in the wells directly is not permitted). The undiluted standard serves as the high standard. The Sample Diluent serves as the zero standard (0 ng/ml).

    Prélèvement de l'échantillon

    Serum - Use a serum separator tube (SST) and allow samples to clot for 30 minutes before centrifugation for 15 minutes at approximately 1000 × g. Remove serum and assay immediately or aliquot and store samples at -20 C or -80 C . Plasma - Collect plasma using EDTA or heparin as an anticoagulant. Centrifuge samples for 15 minutes at 1000 × g at 2 - 8 C within 30 minutes of collection. Store samples at -20 C or -80 C . Avoid repeated freeze-thaw cycles. Cell culture supernates and other biological fluids - Remove particulates by centrifugation and assay immediately or aliquot and store samples at -20 C or -80 C . Avoid repeated freeze-thaw cycles. Note: Serum, plasma, and cell culture supernatant samples to be used within 7 days may be stored at 2-8 C , otherwise samples must stored at -20 C ( ≤ 1 months) or -80 C ( ≤ 2 months) to avoid loss of bioactivity and contamination. Avoid freeze-thaw cycles. When performing the assay slowly bring samples to room temperature.

    Procédure de l'essai

    Allow all reagents to reach room temperature (Please do not dissolve the reagents at 37 °C directly.). All the reagents should be mixed thoroughly by gently swirling before pipetting. Avoid foaming. Keep appropriate numbers of strips for 1 experiment and remove extra strips from microtiter plate. Removed strips should be resealed and stored at 4 °C until the kits expiry date. Prepare all reagents, working standards and samples as directed in the previous sections. Please predict the concentration before assaying. If values for these are not within the range of the standard curve, users must determine the optimal sample dilutions for their particular experiments.
    1. Add 100 μL of Standard, Blank, or Sample per well. Cover with the Plate sealer. Incubate for 2 hours at 37 °C .
    2. Remove the liquid of each well, don ’ t wash.
    3. Add 100 μL of Detection Reagent A working solution to each well. Cover with the Plate sealer. Incubate for 1 hour at 37 °C . Detection Reagent A working solution may appear cloudy. Warm to room temperature and mix gently until solution appears uniform.
    4. Aspirate each well and wash, repeating the process three times for a total of three washes. Wash by filling each well with Wash Buffer (approximately 400 μL) using a squirt bottle, multi-channel pipette, manifold dispenser or autowasher. Complete removal of liquid at each step is essential to good performance. After the last wash, remove any remaining Wash Buffer by aspirating or decanting. Invert the plate and blot it against clean paper towels.
    5. Add 100 μL of Detection Reagent B working solution to each well. Cover with a new Plate sealer. Incubate for 1 hours at 37 °C .
    6. Repeat the aspiration/wash as in step 4.
    7. Add 90 μL of Substrate Solution to each well. Cover with a new Plate sealer. Incubate within 30 minutes at 37 °C . Protect from light.
    8. Add 50 μL of Stop Solution to each well. If color change does not appear uniform, gently tap the plate to ensure thorough mixing.
    9. Determine the optical density of each well at once, using a microplate reader set to 450 nm.
    Important Note:
    1. Absorbance is a function of the incubation time. Therefore, prior to starting the assay it is recommended that all reagents should be freshly prepared prior to use and all required strip-wells are secured in the microtiter frame. This will ensure equal elapsed time for each pipetting step, without interruption.
    2. Please carefully reconstitute Standards or working Detection Reagent A and B according to the instruction, and avoid foaming and mix gently until the crystals have completely dissolved. The reconstituted Standards can be used only once. This assay requires pipetting of small volumes. To minimize imprecision caused by pipetting, ensure that pipettors are calibrated. It is recommended to suck more than 10 μ l for once pipetting.
    3. To ensure accurate results, proper adhesion of plate sealers during incubation steps is necessary. Do not allow wells to sit uncovered for extended periods between incubation steps. Once reagents have been added to the well strips, DO NOT let the 5 strips DRY at any time during the assay.
    4. For each step in the procedure, total dispensing time for addition of reagents to the assay plate should not exceed 10 minutes.
    5. To avoid cross-contamination, change pipette tips between additions of each standard level, between sample additions, and between reagent additions. Also, use separate reservoirs for each reagent.
    6. The wash procedure is critical. Insufficient washing will result in poor precision and falsely elevated absorbance readings.
    7. Duplication of all standards and specimens, although not required, is recommended.
    8. Substrate Solution is easily contaminated. Please protect it from light.

    Calcul des résultats

    Average the duplicate readings for each standard, control, and sample and subtract the average zero standard optical density. Create a standard curve by reducing the data using computer software capable of generating a four parameter logistic (4-PL) curve-fit. As an alternative, construct a standard curve by plotting the mean absorbance for each standard on the x-axis against the concentration on the y-axis and draw a best fit curve through the points on the graph. The data may be linearized by plotting the log of the SAA concentrations versus the log of the O.D. and the best fit line can be determined by regression analysis. It is recommended to use some related software to do this calculation, such as curve expert 13.0. This procedure will produce an adequate but less precise fit of the data. If samples have been diluted, the concentration read from the standard curve must be multiplied by the dilution factor.

    Restrictions

    For Research Use only
  • Conseil sur la manipulation

    1. The kit should not be used beyond the expiration date on the kit label.
    2. Do not mix or substitute reagents with those from other lots or sources.
    3. If samples generate values higher than the highest standard, further dilute the samples with the Assay Diluent and repeat the assay. Any variation in standard diluent, operator, pipetting technique, washing technique, incubation time or temperature, and kit age can cause variation in binding. 3
    4. This assay is designed to eliminate interference by soluble receptors, ligands, binding proteins, and other factors present in biological samples. Until all factors have been tested in the Immunoassay, the possibility of interference cannot be excluded.

    Stock

    4 °C/-20 °C

    Stockage commentaire

    The Assay Plate, Standard, Detection Reagent A and Detection Reagent B should be stored at -20°C upon being received. After receiving the kit , Substrate should be always stored at 4°C.
  • Lee, Cho, An, Na, Park, Kim, Lee, Kim, Kim, Jang, Kim: "Alstonia scholaris R. Br. Significantly Inhibits Retinoid-Induced Skin Irritation In Vitro and In Vivo." dans: Evidence-based complementary and alternative medicine : eCAM, Vol. 2012, pp. 190370, (2011) (PubMed).

  • Antigène Voir toutes CALCB Kits ELISA

    CALCB (Calcitonin-Related Polypeptide beta (CALCB))

    Autre désignation

    CALCB

    Sujet

    The calcitonin family of bioactive peptides comprises of calcitonin, amylin, two calcitonin-gene related peptides (CGRP1, and CGRP2) and adrenomedullin (ADM). Calcitonin is 32 aa peptide found in the parafollicular ",C", cells of the thyroid in mammals. It is also found in a number of non-mammals. It regulated the mineral (calcium and phosphate) balance. Calcitonin causes hypercalcemia by acting as an inhibitor of osteoclast induced bone resorption. CGRP is a 37-aa peptide produced by tissue specific processing of the calcitonin gene. Calcitonin is the major product in the thyroid, whereas CGRP is the major product in neural tissues. CGRP is a potent cardiovascular agent. It has structural similarity with amylin. CGRP is found in two isoforms (CGRP-I and CGRP-II) that differs only by 3 amino acids. Amylin is a 37-aa peptide produced in the pancreatic beta-cell secretory granules and is co-released with insulin. Amylin also has CGRP-like effects on bone metabolism. Amylin has specific binding sites in the CNS and it may regulate gastric emptying and influence carbohydrate metabolism.

    Pathways

    Hormone Activity
Vous êtes ici:
Chat with us!