Tel:
+49 (0)241 95 163 153
Fax:
+49 (0)241 95 163 155
E-Mail:
orders@anticorps-enligne.fr

BCKDHA Kit ELISA

Le kit ELISA BCKDHA (ABIN5519933) Humain est un kit ELISA Colorimetric conçu pour quantifier Humain BCKDHA.
N° du produit ABIN5519933
601,54 €
Plus frais de livraison 40,00 € et TVA
96 tests
Destination: France
Envoi sous 11 à 15 jours ouvrables

Aperçu rapide pour BCKDHA Kit ELISA (ABIN5519933)

Antigène

Voir toutes BCKDHA Kits ELISA
BCKDHA (Branched Chain Keto Acid Dehydrogenase E1, alpha Polypeptide (BCKDHA))

Reactivité

  • 1
  • 1
  • 1
  • 1
Humain

Méthode de détection

Colorimetric

Type de méthode

Sandwich ELISA

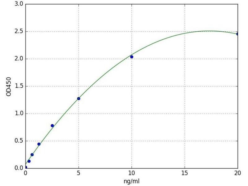
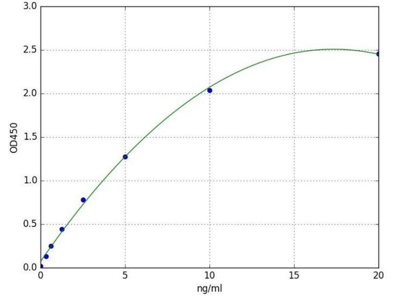
Gamme de detection

0.31 ng/mL - 20 ng/mL

Application

ELISA

Type d'échantillon

Plasma, Serum, Tissue Homogenate
  • Seuil minimal de détection

    0.31 ng/mL

    Fonction

    For quantitative detection in serum, plasma, tissue homogenates and other biological fluids.

    Analytical Method

    Quantitative

    Sensibilité

    0.188 ng/mL

    Ingrédients

    - ELISA Microplate
    - Lyophilized Standard
    - Sample / Standard Dilution Buffer
    - Biotin-labeled Antibody (Concentrated)
    - Antibody Dilution Buffer
    - HRP-Streptavidin Conjugate(SABC)
    - SABC Dilution Buffer
    - TMB Substrate
    - Stop Solution
    - Wash Buffer (25X)
    - Plate Sealer
    - Product Description

    Matériel non inclus

    - Microplate reader (wavelength: 450nm)
    - 37 °C incubator
    - Automated plate washer
    - Precision single and multi-channel pipette and disposable tips
    - Clean tubes and Eppendorf tubes
    - Deionized or distilled water
  • Indications d'application

    Optimal working dilution should be determined by the investigator.

    Commentaires

    Sandwich ELISA, Double Antibody

    Volume d'échantillon

    100 μL

    Plaque

    Pre-coated

    Restrictions

    For Research Use only
  • Stock

    4 °C

    Stockage commentaire

    4 °C for 6 months

    Date de péremption

    6 months
  • Antigène Voir toutes BCKDHA Kits ELISA

    BCKDHA (Branched Chain Keto Acid Dehydrogenase E1, alpha Polypeptide (BCKDHA))

    Autre désignation

    BCKDHA

    UniProt

    P12694
Vous êtes ici:
Chat with us!