Tel:
+49 (0)241 95 163 153
Fax:
+49 (0)241 95 163 155
E-Mail:
orders@anticorps-enligne.fr

PGE2 Kit ELISA

Le kit ELISA PGE2 (ABIN5520491) Souris est un kit ELISA Colorimetric conçu pour quantifier Souris PGE2.
N° du produit ABIN5520491
481,54 €
Plus frais de livraison 40,00 € et TVA
96 tests
Destination: France
Envoi sous 11 à 15 jours ouvrables

Aperçu rapide pour PGE2 Kit ELISA (ABIN5520491)

Antigène

Voir toutes PGE2 Kits ELISA
PGE2 (Prostaglandin E2 (PGE2))

Reactivité

  • 9
  • 4
  • 4
  • 4
  • 2
  • 2
  • 2
  • 2
  • 1
  • 1
  • 1
  • 1
  • 1
Souris

Méthode de détection

Colorimetric

Type de méthode

Competition ELISA

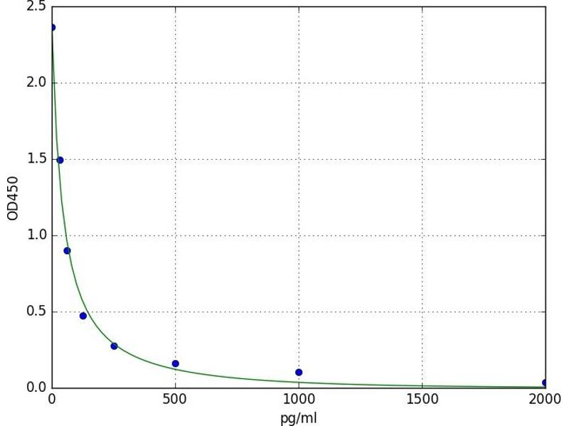
Gamme de detection

31.2 pg/mL - 2000 pg/mL

Application

ELISA

Type d'échantillon

Plasma, Serum, Tissue Homogenate
  • Seuil minimal de détection

    31.2 pg/mL

    Fonction

    For quantitative detection in serum, plasma, tissue homogenates and other biological fluids.

    Analytical Method

    Quantitative

    Sensibilité

    18.75 pg/mL

    Ingrédients

    • Pre-coated, ready to use 96-well strip plate
    • Plate sealer for 96 wells
    • Standard
    • Standard Dilution Buffer
    • Biotin-labeled Antibody (Lyophilized)
    • Purified water
    • Antibody Dilution Buffer
    • HRP-Streptavidin Conjugate (SABC)
    • SABC Dilution Buffer
    • TMB Substrate
    • Stop Solution
    • Wash Buffer (25 x concentrate)
    • Instruction manual
  • Indications d'application

    Optimal working dilution should be determined by the investigator.

    Commentaires

    Competitive ELISA, Coated with Antigen

    Volume d'échantillon

    50 μL

    Plaque

    Pre-coated

    Restrictions

    For Research Use only
  • Stock

    4 °C

    Stockage commentaire

    4 °C for 6 months

    Date de péremption

    6 months
  • Antigène Voir toutes PGE2 Kits ELISA

    PGE2 (Prostaglandin E2 (PGE2))

    Autre désignation

    PGE2
Vous êtes ici:
Chat with us!