Tel:
+49 (0)241 95 163 153
Fax:
+49 (0)241 95 163 155
E-Mail:
orders@anticorps-enligne.fr

IL-22 Kit ELISA

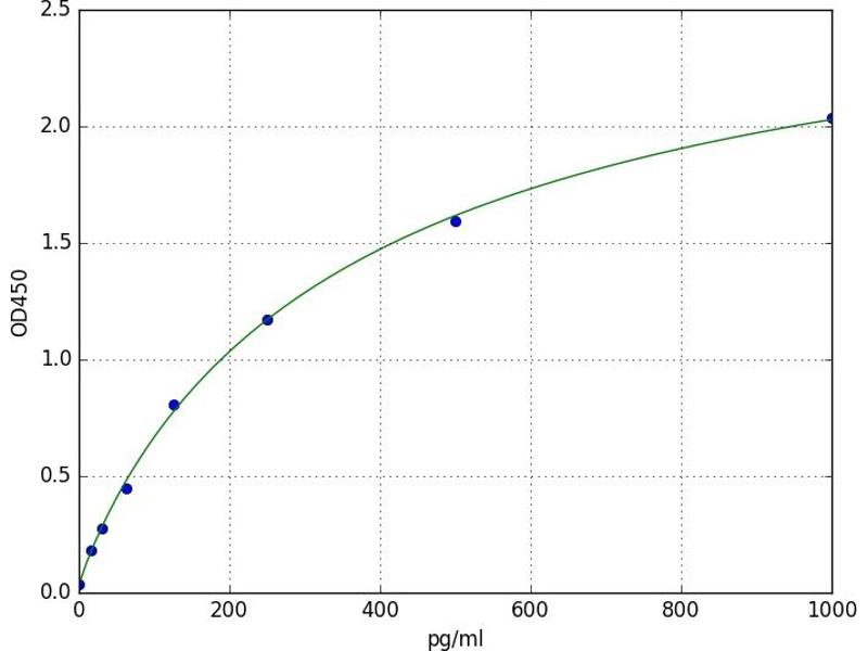
Kit ELISA IL-22 Humain, Colorimetric test pour la quantification de Humain IL-22.
N° du produit ABIN5520960
481,54 €
Plus frais de livraison 40,00 € et TVA
96 tests
Destination: France
Envoi sous 11 à 15 jours ouvrables

Aperçu rapide pour IL-22 Kit ELISA (ABIN5520960)

Antigène

Voir toutes IL-22 (IL22) Kits ELISA
IL-22 (IL22) (Interleukin 22 (IL22))

Reactivité

  • 17
  • 11
  • 5
  • 4
  • 3
  • 3
  • 3
  • 2
  • 2
  • 1
  • 1
  • 1
Humain

Méthode de détection

Colorimetric

Type de méthode

Sandwich ELISA

Gamme de detection

15.625 pg/mL - 1000 pg/mL

Application

ELISA

Type d'échantillon

Plasma, Serum, Tissue Homogenate
  • Seuil minimal de détection

    15.625 pg/mL

    Fonction

    For quantitative detection of IL-22 in serum, plasma, tissue homogenates.

    Analytical Method

    Quantitative

    Specificité

    This assay has high sensitivity and excellent specificity for detection of IL-22. No significant cross-reactivity or interference between IL-22 and analogues was observed. Note: Limited by current skills and knowledge, it is difficult for us to complete the cross-reactivity detection between IL-22 and all the analogues, therefore, cross reaction may still exist.

    Sensibilité

    9.375 pg/mL

    Ingrédients

    - ELISA Microplate
    - Lyophilized Standard
    - Sample / Standard Dilution Buffer
    - Biotin-labeled Antibody (Concentrated)
    - Antibody Dilution Buffer
    - HRP-Streptavidin Conjugate(SABC)
    - SABC Dilution Buffer
    - TMB Substrate
    - Stop Solution
    - Wash Buffer (25X)
    - Plate Sealer
    - Product Description
  • Indications d'application

    Optimal working dilution should be determined by the investigator.

    Commentaires

    Sandwich ELISA, Double Antibody

    Volume d'échantillon

    100 μL

    Plaque

    Pre-coated

    Restrictions

    For Research Use only
  • Stock

    4 °C

    Stockage commentaire

    1. For unopened kit: All the reagents should be kept according to the labels on vials. The Reference Standard and the 96-well stripe plate should be stored at -20 °C upon receipt while the other reagents should be stored at 4 °C.
    2. For used kit: When the kit is used, the remaining reagents need to be stored according to the above storage condition. Besides, please return the unused wells to the foil pouch containing the desiccant pack, and zip-seal the foil pouch.

    Date de péremption

    6 months
  • Antigène Voir toutes IL-22 (IL22) Kits ELISA

    IL-22 (IL22) (Interleukin 22 (IL22))

    Autre désignation

    IL-22

    Sujet

    IL-22/IL22/IL-D110/IL-TIF/ILTIF/TIFIL-23/TIFa/zcyto18

    UniProt

    Q9GZX6
Vous êtes ici:
Chat with us!