Tel:
+49 (0)241 95 163 153
Fax:
+49 (0)241 95 163 155
E-Mail:
orders@anticorps-enligne.fr

TTG IgG Kit ELISA

Ce kit ELISA Colorimetric est destiné à la mesure quantitative de Humain TTG IgG.
N° du produit ABIN5521162
601,54 €
Plus frais de livraison 40,00 € et TVA
96 tests
Destination: France
Envoi sous 11 à 15 jours ouvrables

Aperçu rapide pour TTG IgG Kit ELISA (ABIN5521162)

Antigène

TTG IgG (Anti-Tissue Transglutaminase IgG (TTG IgG))

Reactivité

Humain

Méthode de détection

Colorimetric

Type de méthode

Competition ELISA

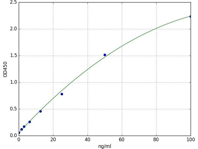
Gamme de detection

1.56 ng/mL - 100 ng/mL

Application

ELISA

Type d'échantillon

Plasma, Tissue Homogenate
  • Seuil minimal de détection

    1.56 ng/mL

    Fonction

    ELISA Kit allows for the in vitro quantitative determination of concentrations in plasma, tissue homogenates and other biological fluids.

    Analytical Method

    Quantitative

    Sensibilité

    0.938 ng/mL

    Ingrédients

    - ELISA Microplate
    - Lyophilized Standard
    - Sample / Standard Dilution Buffer
    - Biotin-labeled Antibody (Concentrated)
    - Antibody Dilution Buffer
    - HRP-Streptavidin Conjugate(SABC)
    - SABC Dilution Buffer
    - TMB Substrate
    - Stop Solution
    - Wash Buffer (25X)
    - Plate Sealer
    - Product Description

    Matériel non inclus

    - Microplate reader (wavelength: 450nm)
    - 37 °C incubator
    - Automated plate washer
    - Precision single and multi-channel pipette and disposable tips
    - Clean tubes and Eppendorf tubes
    - Deionized or distilled water
  • Indications d'application

    Optimal working dilution should be determined by the investigator.

    Commentaires

    Indirect ELISA

    Volume d'échantillon

    100 μL

    Plaque

    Pre-coated

    Restrictions

    For Research Use only
  • Stock

    4 °C

    Stockage commentaire

    4 °C for 6 months

    Date de péremption

    6 months
  • Antigène

    TTG IgG (Anti-Tissue Transglutaminase IgG (TTG IgG))

    Autre désignation

    Anti-tissue transglutaminase IgG

    Classe de substances

    Antibody, Antibody
Vous êtes ici:
Chat with us!