Tel:
+49 (0)241 95 163 153
Fax:
+49 (0)241 95 163 155
E-Mail:
orders@anticorps-enligne.fr

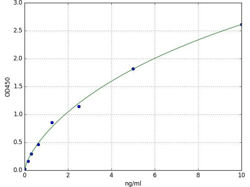
Pro BDNF Kit ELISA

Le kit ELISA Pro BDNF (ABIN5521205) Humain est un kit ELISA Colorimetric conçu pour quantifier Humain Pro BDNF.
N° du produit ABIN5521205
481,54 €
Plus frais de livraison 40,00 € et TVA
96 tests
Destination: France
Envoi sous 11 à 15 jours ouvrables

Aperçu rapide pour Pro BDNF Kit ELISA (ABIN5521205)

Antigène

Tous les produits Pro BDNF (proBDNF)
Pro BDNF (proBDNF) (Pro-Brain-Derived Neurotrophic Factor (proBDNF))

Reactivité

  • 1
  • 1
Humain

Méthode de détection

Colorimetric

Type de méthode

Sandwich ELISA

Gamme de detection

0.15 ng/mL - 10 ng/mL

Application

ELISA

Type d'échantillon

Plasma, Serum, Tissue Homogenate
  • Seuil minimal de détection

    0.15 ng/mL

    Fonction

    For quantitative detection in serum, plasma, tissue homogenates and other biological fluids.

    Analytical Method

    Quantitative

    Specificité

    Brain-derived neurotrophic factor isoform a preproprotein

    Sensibilité

    0.094 ng/mL

    Ingrédients

    - ELISA Microplate
    - Lyophilized Standard
    - Sample / Standard Dilution Buffer
    - Biotin-labeled Antibody (Concentrated)
    - Antibody Dilution Buffer
    - HRP-Streptavidin Conjugate(SABC)
    - SABC Dilution Buffer
    - TMB Substrate
    - Stop Solution
    - Wash Buffer (25X)
    - Plate Sealer
    - Product Description
  • Indications d'application

    Optimal working dilution should be determined by the investigator.

    Commentaires

    Sandwich ELISA, Double Antibody

    Volume d'échantillon

    100 μL

    Plaque

    Pre-coated

    Restrictions

    For Research Use only
  • Stock

    4 °C

    Stockage commentaire

    4 °C for 6 months

    Date de péremption

    6 months
  • Antigène Tous les produits Pro BDNF (proBDNF)

    Pro BDNF (proBDNF) (Pro-Brain-Derived Neurotrophic Factor (proBDNF))

    Autre désignation

    pro-BDNF

    Sujet

    Brain-derived neurotrophic factor isoform a preproprotein

    UniProt

    P23560
Vous êtes ici:
Chat with us!