Tel:
+49 (0)241 95 163 153
Fax:
+49 (0)241 95 163 155
E-Mail:
orders@anticorps-enligne.fr

Sphingosine 1 Phosphate Kit ELISA

Ce kit ELISA Colorimetric est destiné à la mesure quantitative de Humain Sphingosine 1 Phosphate. Il a été cité dans 1 publication.
N° du produit ABIN5521213
481,54 €
Plus frais de livraison 40,00 € et TVA
96 tests
Destination: France
Envoi sous 11 à 15 jours ouvrables

Aperçu rapide pour Sphingosine 1 Phosphate Kit ELISA (ABIN5521213)

Antigène

Sphingosine 1 Phosphate

Reactivité

  • 1
  • 1
Humain

Méthode de détection

Colorimetric

Type de méthode

Competition ELISA

Gamme de detection

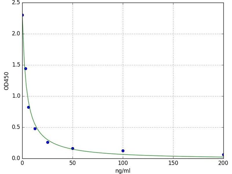
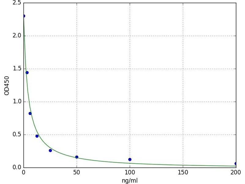
3.125 ng/mL - 200 ng/mL

Application

ELISA

Type d'échantillon

Plasma, Serum, Tissue Homogenate
  • Seuil minimal de détection

    3.125 ng/mL

    Fonction

    For quantitative detection of Sphingosine 1 Phosphate in serum, plasma, tissue homogenates.

    Analytical Method

    Quantitative

    Specificité

    This assay has high sensitivity and excellent specificity for detection of Sphingosine 1 Phosphate. No significant cross-reactivity or interference between Sphingosine 1 Phosphate and analogues was observed. Note: Limited by current skills and knowledge, it is difficult for us to complete the cross-reactivity detection between Sphingosine 1 Phosphate and all the analogues, therefore, cross reaction may still exist.

    Sensibilité

    1.875 ng/mL

    Ingrédients

    - ELISA Microplate
    - Lyophilized Standard
    - Sample / Standard Dilution Buffer
    - Biotin-labeled Antibody (Concentrated)
    - Antibody Dilution Buffer
    - HRP-Streptavidin Conjugate(SABC)
    - SABC Dilution Buffer
    - TMB Substrate
    - Stop Solution
    - Wash Buffer (25X)
    - Plate Sealer
    - Product Description
  • Indications d'application

    Optimal working dilution should be determined by the investigator.

    Commentaires

    Competition ELISA, Double Antibody

    Volume d'échantillon

    100 μL

    Plaque

    Pre-coated

    Restrictions

    For Research Use only
  • Stock

    4 °C

    Stockage commentaire

    1. For unopened kit: All the reagents should be kept according to the labels on vials. The Reference Standard and the 96-well stripe plate should be stored at -20 °C upon receipt while the other reagents should be stored at 4 °C.
    2. For used kit: When the kit is used, the remaining reagents need to be stored according to the above storage condition. Besides, please return the unused wells to the foil pouch containing the desiccant pack, and zip-seal the foil pouch.

    Date de péremption

    6 months
  • Aslan, Kıraç, Kaya, Özcan, Salim, Küpesiz: "Decreased Serum Levels of Sphingomyelins and Ceramides in Sickle Cell Disease Patients." dans: Lipids, Vol. 53, Issue 3, pp. 313-322, (2018) (PubMed).

  • Antigène

    Sphingosine 1 Phosphate

    Sujet

    S1P

    UniProt

    Q14703
Vous êtes ici:
Chat with us!