Tel:
+49 (0)241 95 163 153
Fax:
+49 (0)241 95 163 155
E-Mail:
orders@anticorps-enligne.fr

Somatostatin Kit ELISA

Kit ELISA Somatostatin Rat, Colorimetric test pour la quantification de Rat Somatostatin.
N° du produit ABIN5521584
601,54 €
Plus frais de livraison 40,00 € et TVA
96 tests
Destination: France
Envoi sous 11 à 15 jours ouvrables

Aperçu rapide pour Somatostatin Kit ELISA (ABIN5521584)

Antigène

Voir toutes Somatostatin (SST) Kits ELISA
Somatostatin (SST)

Reactivité

  • 12
  • 10
  • 7
  • 7
  • 7
  • 2
  • 2
  • 2
  • 1
  • 1
  • 1
  • 1
  • 1
Rat

Méthode de détection

Colorimetric

Type de méthode

Competition ELISA

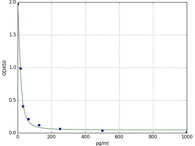
Gamme de detection

15.63 pg/mL - 1000 pg/mL

Application

ELISA

Type d'échantillon

Plasma, Serum, Tissue Homogenate
  • Seuil minimal de détection

    15.63 pg/mL

    Fonction

    For quantitative detection in serum, plasma, tissue homogenates and other biological fluids.

    Analytical Method

    Quantitative

    Specificité

    Sst/SMST/SOM/SRIF/Growth hormone release-inhibiting factor/somatostatin-14/somatostatin-28

    Sensibilité

    9.375 pg/mL

    Ingrédients

    - ELISA Microplate
    - Lyophilized Standard
    - Sample / Standard Dilution Buffer
    - Biotin-labeled Antibody (Concentrated)
    - Antibody Dilution Buffer
    - HRP-Streptavidin Conjugate(SABC)
    - SABC Dilution Buffer
    - TMB Substrate
    - Stop Solution
    - Wash Buffer (25X)
    - Plate Sealer
    - Product Description
  • Indications d'application

    Optimal working dilution should be determined by the investigator.

    Commentaires

    Competitive ELISA, Coated with Antigen

    Volume d'échantillon

    50 μL

    Plaque

    Pre-coated

    Restrictions

    For Research Use only
  • Stock

    4 °C

    Stockage commentaire

    4 °C for 6 months

    Date de péremption

    6 months
  • Antigène Voir toutes Somatostatin (SST) Kits ELISA

    Somatostatin (SST)

    Autre désignation

    Sst

    Classe de substances

    Chemical

    Sujet

    Sst/SMST/SOM/SRIF/Growth hormone release-inhibiting factor/somatostatin-14/somatostatin-28

    UniProt

    P60042
Vous êtes ici:
Chat with us!