Tel:
+49 (0)241 95 163 153
Fax:
+49 (0)241 95 163 155
E-Mail:
orders@anticorps-enligne.fr

ACA-IgM Kit ELISA

Kit ELISA ACA-IgM Souris, Colorimetric test pour la quantification de Souris ACA-IgM.
N° du produit ABIN5522880
601,54 €
Plus frais de livraison 40,00 € et TVA
96 tests
Destination: France
Envoi sous 11 à 15 jours ouvrables

Aperçu rapide pour ACA-IgM Kit ELISA (ABIN5522880)

Antigène

Tous les produits ACA-IgM
ACA-IgM (Anti-Cardiolipin Antibody IgM (ACA-IgM))

Reactivité

  • 1
  • 1
Souris

Méthode de détection

Colorimetric

Type de méthode

Sandwich ELISA

Gamme de detection

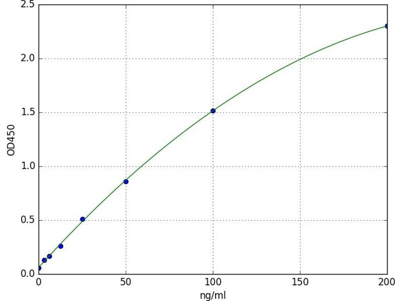
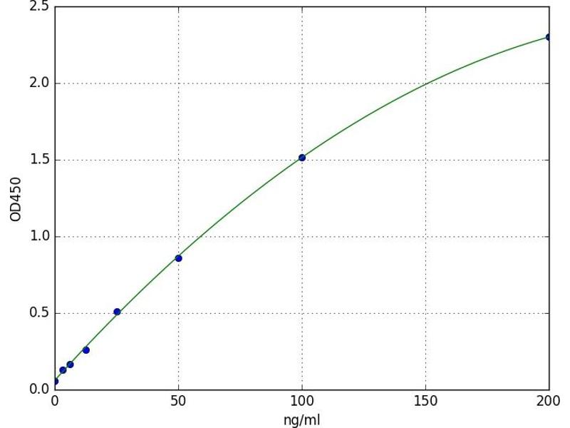
3.125 ng/mL - 200 ng/mL

Application

ELISA

Type d'échantillon

Plasma, Serum, Tissue Homogenate
  • Seuil minimal de détection

    3.125 ng/mL

    Fonction

    For quantitative detection of ACA-IgM in serum, plasma, tissue homogenates.

    Analytical Method

    Quantitative

    Specificité

    This assay has high sensitivity and excellent specificity for detection of ACA-IgM. No significant cross- reactivity or interference between ACA-IgM and analogues was observed. Note: Limited by current skills and knowledge, it is difficult for us to complete the cross-reactivity detection between ACA-IgM and all the analogues, therefore, cross reaction may still exist.

    Sensibilité

    1.875 ng/mL

    Ingrédients

    - ELISA Microplate
    - Lyophilized Standard
    - Sample / Standard Dilution Buffer
    - Biotin-labeled Antibody (Concentrated)
    - Antibody Dilution Buffer
    - HRP-Streptavidin Conjugate(SABC)
    - SABC Dilution Buffer
    - TMB Substrate
    - Stop Solution
    - Wash Buffer (25X)
    - Plate Sealer
    - Product Description

    Matériel non inclus

    - Microplate reader (wavelength: 450nm)
    - 37 °C incubator
    - Automated plate washer
    - Precision single and multi-channel pipette and disposable tips
    - Clean tubes and Eppendorf tubes
    - Deionized or distilled water
  • Indications d'application

    Optimal working dilution should be determined by the investigator.

    Commentaires

    Sandwich ELISA, Double Antigen

    Volume d'échantillon

    100 μL

    Plaque

    Pre-coated

    Restrictions

    For Research Use only
  • Stock

    4 °C

    Stockage commentaire

    1. For unopened kit: All the reagents should be kept according to the labels on vials. The Reference Standard and the 96-well stripe plate should be stored at -20 °C upon receipt while the other reagents should be stored at 4 °C.
    2. For used kit: When the kit is used, the remaining reagents need to be stored according to the above storage condition. Besides, please return the unused wells to the foil pouch containing the desiccant pack, and zip-seal the foil pouch.

    Date de péremption

    6 months
  • Antigène Tous les produits ACA-IgM

    ACA-IgM (Anti-Cardiolipin Antibody IgM (ACA-IgM))

    Autre désignation

    Anti-Cardiolipin Antibody IgM

    Classe de substances

    Antibody

    Sujet

    ACA-IgM/anti-Cardiolipin Antibody IgM
Vous êtes ici:
Chat with us!