Tel:
+49 (0)241 95 163 153
Fax:
+49 (0)241 95 163 155
E-Mail:
orders@anticorps-enligne.fr

Luteinizing Hormone Kit ELISA

Le kit ELISA Luteinizing Hormone (ABIN5523389) Souris est un kit ELISA Colorimetric conçu pour quantifier Souris Luteinizing Hormone.
N° du produit ABIN5523389
481,54 €
Plus frais de livraison 40,00 € et TVA
96 tests
Destination: France
Envoi sous 11 à 15 jours ouvrables

Aperçu rapide pour Luteinizing Hormone Kit ELISA (ABIN5523389)

Antigène

Voir toutes Luteinizing Hormone (LH) Kits ELISA
Luteinizing Hormone (LH)

Reactivité

  • 7
  • 6
  • 6
  • 5
  • 4
  • 3
  • 3
  • 3
  • 3
  • 3
  • 3
  • 1
  • 1
  • 1
Souris

Méthode de détection

Colorimetric

Type de méthode

Competition ELISA

Gamme de detection

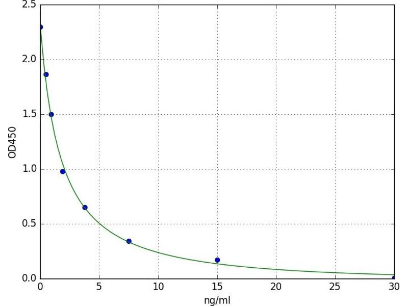
0.469 ng/mL - 30 ng/mL

Application

ELISA

Type d'échantillon

Plasma, Serum, Tissue Homogenate
  • Seuil minimal de détection

    0.469 ng/mL

    Fonction

    For quantitative detection of LH in serum, plasma, tissue homogenates.

    Analytical Method

    Quantitative

    Specificité

    This assay has high sensitivity and excellent specificity for detection of LH. No significant cross-reactivity or interference between LH and analogues was observed. Note: Limited by current skills and knowledge, it is difficult for us to complete the cross-reactivity detection between LH and all the analogues, therefore, cross reaction may still exist.

    Sensibilité

    0.281 ng/mL

    Ingrédients

    - ELISA Microplate
    - Lyophilized Standard
    - Sample / Standard Dilution Buffer
    - Biotin-labeled Antibody (Concentrated)
    - Antibody Dilution Buffer
    - HRP-Streptavidin Conjugate(SABC)
    - SABC Dilution Buffer
    - TMB Substrate
    - Stop Solution
    - Wash Buffer (25X)
    - Plate Sealer
    - Product Description
  • Indications d'application

    Optimal working dilution should be determined by the investigator.

    Commentaires

    Competitive ELISA, Coated with Antigen

    Volume d'échantillon

    50 μL

    Plaque

    Pre-coated

    Restrictions

    For Research Use only
  • Stock

    4 °C

    Stockage commentaire

    1. For unopened kit: All the reagents should be kept according to the labels on vials. The Reference Standard and the 96-well stripe plate should be stored at -20 °C upon receipt while the other reagents should be stored at 4 °C.
    2. For used kit: When the kit is used, the remaining reagents need to be stored according to the above storage condition. Besides, please return the unused wells to the foil pouch containing the desiccant pack, and zip-seal the foil pouch.

    Date de péremption

    6 months
  • Antigène Voir toutes Luteinizing Hormone (LH) Kits ELISA

    Luteinizing Hormone (LH)

    Autre désignation

    Luteinizing Hormone

    Classe de substances

    Hormone

    Sujet

    LH(Luteinizing Hormone)/Lutropin/Lutrophin
Vous êtes ici:
Chat with us!