Tel:
+49 (0)241 95 163 153
Fax:
+49 (0)241 95 163 155
E-Mail:
orders@anticorps-enligne.fr

IgE Kit ELISA

Kit ELISA IgE Boeuf (Vache), Colorimetric test pour la quantification de Boeuf (Vache) IgE.
N° du produit ABIN5523477
601,54 €
Plus frais de livraison 40,00 € et TVA
96 tests
Destination: France
Envoi sous 11 à 15 jours ouvrables

Aperçu rapide pour IgE Kit ELISA (ABIN5523477)

Antigène

Voir toutes IgE Kits ELISA
IgE

Reactivité

  • 19
  • 18
  • 12
  • 7
  • 7
  • 5
  • 5
  • 4
  • 3
  • 3
  • 2
  • 1
  • 1
Boeuf (Vache)

Méthode de détection

Colorimetric

Type de méthode

Sandwich ELISA

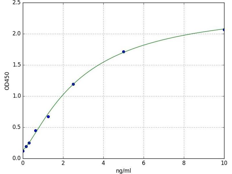
Gamme de detection

0.15 ng/mL - 10 ng/mL

Application

ELISA

Type d'échantillon

Plasma, Serum, Tissue Homogenate
  • Seuil minimal de détection

    0.15 ng/mL

    Fonction

    For quantitative detection in serum, plasma, tissue homogenates and other biological fluids.

    Analytical Method

    Quantitative

    Sensibilité

    1.875 IU/mL

    Ingrédients

    - ELISA Microplate
    - Lyophilized Standard
    - Sample / Standard Dilution Buffer
    - Biotin-labeled Antibody (Concentrated)
    - Antibody Dilution Buffer
    - HRP-Streptavidin Conjugate(SABC)
    - SABC Dilution Buffer
    - TMB Substrate
    - Stop Solution
    - Wash Buffer (25X)
    - Plate Sealer
    - Product Description
  • Indications d'application

    Optimal working dilution should be determined by the investigator.

    Commentaires

    Sandwich ELISA, Double Antibody

    Volume d'échantillon

    100 μL

    Plaque

    Pre-coated

    Restrictions

    For Research Use only
  • Stock

    4 °C

    Stockage commentaire

    4 °C for 6 months

    Date de péremption

    6 months
  • Antigène Voir toutes IgE Kits ELISA

    IgE

    Classe de substances

    Antibody
Vous êtes ici:
Chat with us!