Tel:
+49 (0)241 95 163 153
Fax:
+49 (0)241 95 163 155
E-Mail:
orders@anticorps-enligne.fr

IgE Kit ELISA

Le kit ELISA IgE (ABIN5523479) Cobaye est un kit ELISA Colorimetric conçu pour quantifier Cobaye IgE.
N° du produit ABIN5523479
601,54 €
Plus frais de livraison 40,00 € et TVA
96 tests
Destination: France
Envoi sous 11 à 15 jours ouvrables

Aperçu rapide pour IgE Kit ELISA (ABIN5523479)

Antigène

Voir toutes IgE Kits ELISA
IgE

Reactivité

  • 19
  • 18
  • 12
  • 7
  • 7
  • 5
  • 5
  • 4
  • 3
  • 3
  • 2
  • 1
  • 1
Cobaye

Méthode de détection

Colorimetric

Type de méthode

Sandwich ELISA

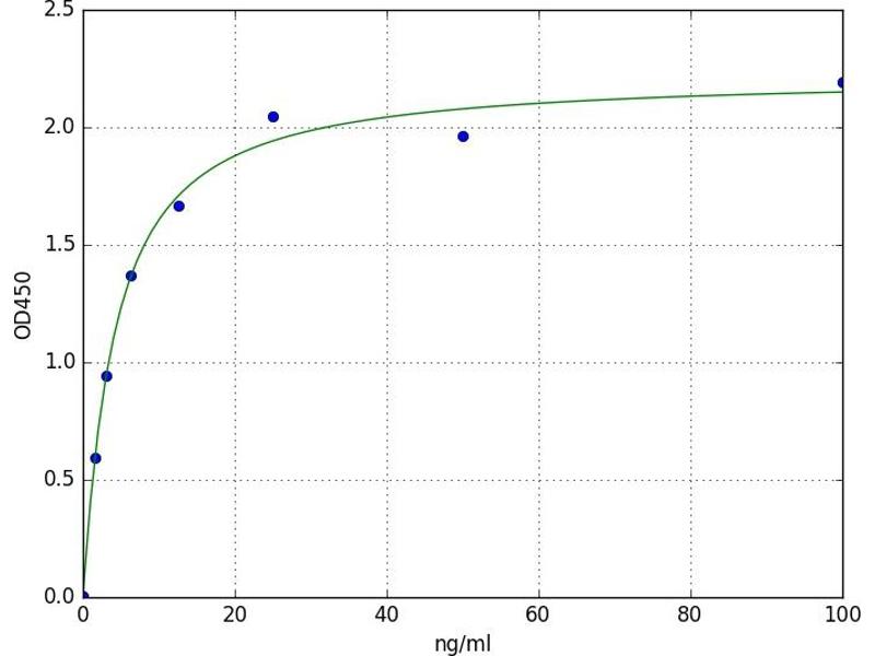
Gamme de detection

1.563 ng/mL - 100 ng/mL

Application

ELISA

Type d'échantillon

Plasma, Serum, Tissue Homogenate
  • Seuil minimal de détection

    1.563 ng/mL

    Fonction

    For quantitative detection of IgE in serum, plasma, tissue homogenates.

    Analytical Method

    Quantitative

    Specificité

    This assay has high sensitivity and excellent specificity for detection of IgE. No significant cross -reactivity or interference between IgE and analogues was observed. Note: Limited by current skills and knowledge, it is difficult for us to complete the cross-reactivity detection between IgE and all the analogues, therefore, cross reaction may still exist.

    Sensibilité

    0.938 ng/mL

    Ingrédients

    - ELISA Microplate
    - Lyophilized Standard
    - Sample / Standard Dilution Buffer
    - Biotin-labeled Antibody (Concentrated)
    - Antibody Dilution Buffer
    - HRP-Streptavidin Conjugate(SABC)
    - SABC Dilution Buffer
    - TMB Substrate
    - Stop Solution
    - Wash Buffer (25X)
    - Plate Sealer
    - Product Description
  • Indications d'application

    Optimal working dilution should be determined by the investigator.

    Commentaires

    Sandwich ELISA, Double Antibody

    Volume d'échantillon

    100 μL

    Plaque

    Pre-coated

    Restrictions

    For Research Use only
  • Stock

    4 °C

    Stockage commentaire

    1. For unopened kit: All the reagents should be kept according to the labels on vials. The Reference Standard and the 96-well stripe plate should be stored at -20 °C upon receipt while the other reagents should be stored at 4 °C.
    2. For used kit: When the kit is used, the remaining reagents need to be stored according to the above storage condition. Besides, please return the unused wells to the foil pouch containing the desiccant pack, and zip-seal the foil pouch.

    Date de péremption

    6 months
  • Antigène Voir toutes IgE Kits ELISA

    IgE

    Classe de substances

    Antibody

    Sujet

    Immunoglobulin E
Vous êtes ici:
Chat with us!