Tel:
+49 (0)241 95 163 153
Fax:
+49 (0)241 95 163 155
E-Mail:
orders@anticorps-enligne.fr

ACE2 Kit ELISA

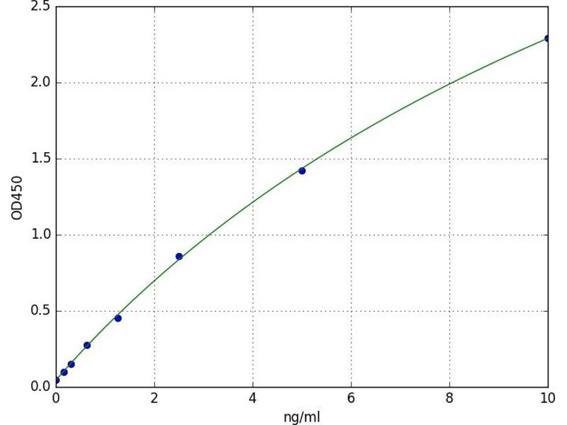
Kit ELISA ACE2 Rat, Colorimetric test pour la quantification de Rat ACE2.
N° du produit ABIN5523960
481,54 €
Plus frais de livraison 40,00 € et TVA
96 tests
Destination: France
Envoi sous 11 à 15 jours ouvrables

Aperçu rapide pour ACE2 Kit ELISA (ABIN5523960)

Antigène

Voir toutes ACE2 Kits ELISA
ACE2 (Angiotensin I Converting Enzyme 2 (ACE2))

Reactivité

  • 14
  • 12
  • 11
  • 2
  • 2
  • 1
  • 1
  • 1
  • 1
  • 1
  • 1
  • 1
Rat

Méthode de détection

Colorimetric

Type de méthode

Sandwich ELISA

Gamme de detection

0.15 ng/mL - 10 ng/mL

Application

ELISA

Type d'échantillon

Plasma, Serum, Tissue Homogenate
  • Seuil minimal de détection

    0.15 ng/mL

    Fonction

    For quantitative detection in serum, plasma, tissue homogenates and other biological fluids.

    Analytical Method

    Quantitative

    Specificité

    Ace2/ACE-related carboxypeptidase/

    Sensibilité

    0.094 ng/mL

    Ingrédients

    - ELISA Microplate
    - Lyophilized Standard
    - Sample / Standard Dilution Buffer
    - Biotin-labeled Antibody (Concentrated)
    - Antibody Dilution Buffer
    - HRP-Streptavidin Conjugate(SABC)
    - SABC Dilution Buffer
    - TMB Substrate
    - Stop Solution
    - Wash Buffer (25X)
    - Plate Sealer
    - Product Description
  • Indications d'application

    Optimal working dilution should be determined by the investigator.

    Commentaires

    Sandwich ELISA, Double Antibody

    Volume d'échantillon

    100 μL

    Plaque

    Pre-coated

    Restrictions

    For Research Use only
  • Stock

    4 °C

    Stockage commentaire

    4 °C for 6 months

    Date de péremption

    6 months
  • Antigène Voir toutes ACE2 Kits ELISA

    ACE2 (Angiotensin I Converting Enzyme 2 (ACE2))

    Autre désignation

    Ace2

    Sujet

    Ace2/ACE-related carboxypeptidase/

    UniProt

    Q5EGZ1

    Pathways

    ACE Inhibitor Pathway, Peptide Hormone Metabolism, Regulation of Systemic Arterial Blood Pressure by Hormones, Feeding Behaviour
Vous êtes ici:
Chat with us!