GOT1 Kit ELISA
Aperçu rapide pour GOT1 Kit ELISA (ABIN5524174)
Antigène
Voir toutes GOT1 Kits ELISAReactivité
Méthode de détection
Type de méthode
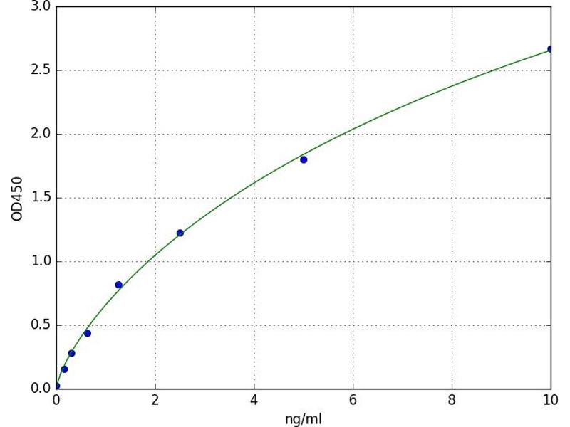
Gamme de detection
Application
Type d'échantillon
-
-
Seuil minimal de détection
- 0.156 ng/mL
-
Fonction
- For quantitative detection of AST in serum, plasma, tissue homogenates.
-
Analytical Method
- Quantitative
-
Specificité
- This assay has high sensitivity and excellent specificity for detection of AST. No significant cross-reactivity or interference between AST and analogues was observed. Note: Limited by current skills and knowledge, it is difficult for us to complete the cross-reactivity detection between AST and all the analogues, therefore, cross reaction may still exist.
-
Sensibilité
- 0.094 ng/mL
-
Ingrédients
-
- ELISA Microplate
- Lyophilized Standard
- Sample / Standard Dilution Buffer
- Biotin-labeled Antibody (Concentrated)
- Antibody Dilution Buffer
- HRP-Streptavidin Conjugate(SABC)
- SABC Dilution Buffer
- TMB Substrate
- Stop Solution
- Wash Buffer (25X)
- Plate Sealer
- Product Description
-
-
-
-
Indications d'application
- Optimal working dilution should be determined by the investigator.
-
Commentaires
-
Sandwich ELISA, Double Antibody
-
Volume d'échantillon
- 100 μL
-
Plaque
- Pre-coated
-
Restrictions
- For Research Use only
-
-
-
Stock
- 4 °C
-
Stockage commentaire
-
- For unopened kit: All the reagents should be kept according to the labels on vials. The Reference Standard and the 96-well stripe plate should be stored at -20 °C upon receipt while the other reagents should be stored at 4 °C.
- For used kit: When the kit is used, the remaining reagents need to be stored according to the above storage condition. Besides, please return the unused wells to the foil pouch containing the desiccant pack, and zip-seal the foil pouch.
-
Date de péremption
- 6 months
-
-
- GOT1 (Glutamic-Oxaloacetic Transaminase 1, Soluble (Aspartate Aminotransferase 1) (GOT1))
-
Autre désignation
- Aspartate Aminotransferase
-
Sujet
- AST
-
Pathways
- Hepatitis C, Monocarboxylic Acid Catabolic Process, Methionine Biosynthetic Process
Antigène Voir toutes GOT1 Kits ELISA
-