Tel:
+49 (0)241 95 163 153
Fax:
+49 (0)241 95 163 155
E-Mail:
orders@anticorps-enligne.fr

Estrogen Kit ELISA

Le kit ELISA Estrogen (ABIN5524301) Rat est un kit ELISA Colorimetric conçu pour quantifier Rat Estrogen.
N° du produit ABIN5524301
481,54 €
Plus frais de livraison 40,00 € et TVA
96 tests
Destination: France
Envoi sous 11 à 15 jours ouvrables

Aperçu rapide pour Estrogen Kit ELISA (ABIN5524301)

Antigène

Tous les produits Estrogen
Estrogen

Reactivité

  • 1
  • 1
  • 1
  • 1
  • 1
  • 1
  • 1
  • 1
Rat

Méthode de détection

Colorimetric

Type de méthode

Competition ELISA

Gamme de detection

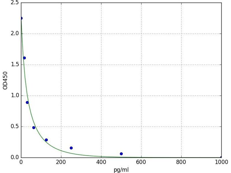
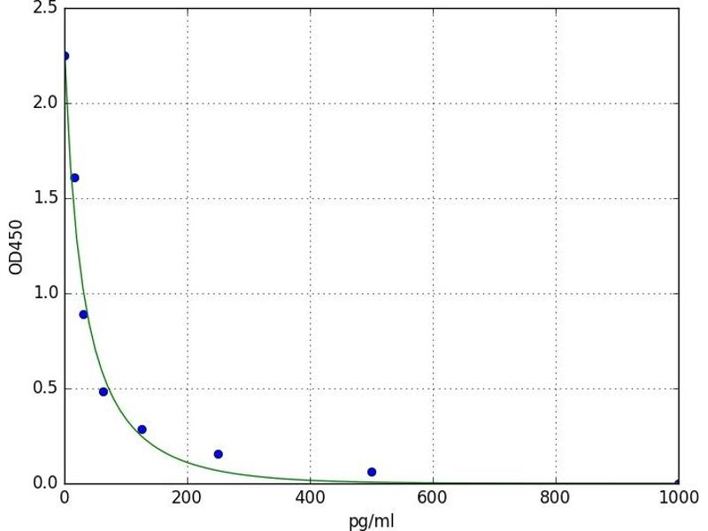
15.6 pg/mL - 1000 pg/mL

Application

ELISA

Type d'échantillon

Plasma, Serum, Tissue Homogenate
  • Seuil minimal de détection

    15.6 pg/mL

    Fonction

    For quantitative detection in serum, plasma, tissue homogenates and other biological fluids.

    Analytical Method

    Quantitative

    Sensibilité

    9.375 pg/mL

    Ingrédients

    • Pre-coated, ready to use 96-well strip plate
    • Plate sealer for 96 wells
    • Standard
    • Standard Dilution Buffer
    • Biotin-labeled Antibody
    • Purified water
    • Antibody Dilution Buffer
    • HRP-Streptavidin Conjugate (SABC)
    • SABC Dilution Buffer
    • TMB Substrate
    • Stop Solution
    • Wash Buffer (25 x concentrate)
    • Instruction manual
  • Indications d'application

    Optimal working dilution should be determined by the investigator.

    Commentaires

    Competitive ELISA, Coated with Antigen

    Volume d'échantillon

    50 μL

    Plaque

    Pre-coated

    Préparation des réactifs

    • Bring all reagents and samples to room temperature for 20 minutes before use.
    • Wash Buffer: If crystals have formed in the concentrate, you can warm it with 40 °C water bath Concentrated Wash Buffer into 750 mL Wash Buffer with deionized or distilled water. Put unused solution back at 2-8 °C.
    • Standards:
      1. Add 1 mL Sample Dilution Buffer into one Standard tube (labeled as zero tube), keep the tube at room temperature for 10 minutes and mix them thoroughly. Note: If the standard tube concentration higher than the range of the kit,please dilute it and labeled as zero tube.
      2. Label 7 EP tubes with 1/2, 1/4, 1/8, 1/16, 1/32, 1/64 and blank respectively. Add 0.3 mLof the Sample Dilution Buffer into each tube. Add 0.3 mLof the above Standard solution (from zero tube) into 1st tube and mix them thoroughly. Transfer 0.3 mL from 1st tube to 2nd tube and mix them thoroughly. Transfer 0.3 mL from 2nd tube to 3rd tube and mix them thoroughly, and so on. Sample Dilution Buffer was used for the blank control. Note: It is best to use Standard Solutions within 2 hours.
    • Preparation of Biotin-labeled Antibody Working Solution:
      Prepare it within 1 hour before experiment.
      1. Dissolve: Add 70ul purified water into tube and mix them thoroughly, after the biotin-labeled antibody is dissolved, please store it at 2-8°C.
      2. Calculate required total volume of the working solution: 0.05ml/well x quantity of wells. (Allow 0.1-0.2 mLmore than the total volume.)
      3. Dilute the Biotin-detection antibody with Antibody Dilution Buffer at 1:100 and mix them thoroughly. (i.e. Add 1 µL Biotin-labeled antibody into 99 µL Antibody Dilution Buffer.)
    • Preparation of HRP-Streptavidin Conjugate (SABC) Working Solution:
      Prepare it within 30 minutes before experiment.
      1. Calculate required total volume of the working solution: 0.1ml/well x quantity of wells. (Allow 0.1-0.2 mLmore than the total volume.)
      2. Dilute the SABC with SABC Dilution Buffer at 1:100 and mix them thoroughly. (i.e. Add 1 µL of SABC into 99 µL of SABC Dilution Buffer.)

    Restrictions

    For Research Use only
  • Stock

    4 °C

    Stockage commentaire

    4 °C for 6 months

    Date de péremption

    6 months
  • Antigène Tous les produits Estrogen

    Estrogen

    Classe de substances

    Hormone
Vous êtes ici:
Chat with us!