Tel:
+49 (0)241 95 163 153
Fax:
+49 (0)241 95 163 155
E-Mail:
orders@anticorps-enligne.fr

Neopterin Kit ELISA

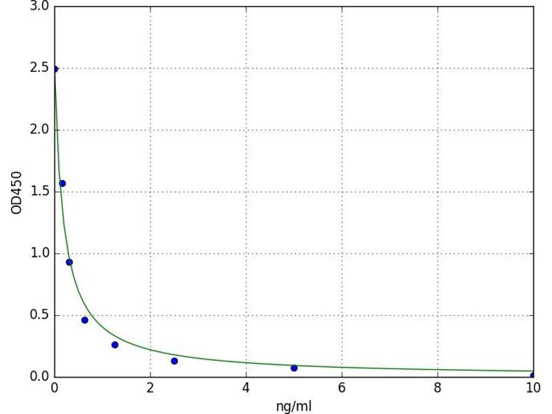
Le kit ELISA Neopterin (ABIN5525189) Humain est un kit ELISA Colorimetric conçu pour quantifier Humain Neopterin. Ce kit ELISA a été cité dans 1 publication.
N° du produit ABIN5525189
481,54 €
Plus frais de livraison 40,00 € et TVA
96 tests
Destination: France
Envoi sous 11 à 15 jours ouvrables

Aperçu rapide pour Neopterin Kit ELISA (ABIN5525189)

Antigène

Tous les produits Neopterin (NP)
Neopterin (NP)

Reactivité

  • 1
  • 1
  • 1
  • 1
Humain

Méthode de détection

Colorimetric

Type de méthode

Competition ELISA

Gamme de detection

0.15 ng/mL - 10 ng/mL

Application

ELISA

Type d'échantillon

Plasma, Serum, Tissue Homogenate
  • Seuil minimal de détection

    0.15 ng/mL

    Fonction

    For quantitative detection in serum, plasma, tissue homogenates and other biological fluids.

    Analytical Method

    Quantitative

    Specificité

    Neopterin

    Sensibilité

    0.094 ng/mL

    Ingrédients

    - ELISA Microplate
    - Lyophilized Standard
    - Sample / Standard Dilution Buffer
    - Biotin-labeled Antibody (Concentrated)
    - Antibody Dilution Buffer
    - HRP-Streptavidin Conjugate(SABC)
    - SABC Dilution Buffer
    - TMB Substrate
    - Stop Solution
    - Wash Buffer (25X)
    - Plate Sealer
    - Product Description
  • Indications d'application

    Optimal working dilution should be determined by the investigator.

    Commentaires

    Competitive ELISA, Coated with Antigen

    Volume d'échantillon

    50 μL

    Plaque

    Pre-coated

    Restrictions

    For Research Use only
  • Stock

    4 °C

    Stockage commentaire

    4 °C for 6 months

    Date de péremption

    6 months
  • Kranaster, Hoyer, Aksay, Bumb, Müller, Zill, Schwarz, Sartorius: "Antidepressant efficacy of electroconvulsive therapy is associated with a reduction of the innate cellular immune activity in the cerebrospinal fluid in patients with depression." dans: The world journal of biological psychiatry : the official journal of the World Federation of Societies of Biological Psychiatry, Vol. 19, Issue 5, pp. 379-389, (2018) (PubMed).

  • Antigène Tous les produits Neopterin (NP)

    Neopterin (NP)

    Autre désignation

    Neopterin

    Classe de substances

    Chemical

    Sujet

    Neopterin
Vous êtes ici:
Chat with us!