Tel:
+49 (0)241 95 163 153
Fax:
+49 (0)241 95 163 155
E-Mail:
orders@anticorps-enligne.fr

Free Thyroxine Kit ELISA

Kit ELISA Free Thyroxine Rat, Colorimetric test pour la quantification de Rat Free Thyroxine.
N° du produit ABIN5525907
481,54 €
Plus frais de livraison 40,00 € et TVA
96 tests
Destination: France
Envoi sous 11 à 15 jours ouvrables

Aperçu rapide pour Free Thyroxine Kit ELISA (ABIN5525907)

Antigène

Tous les produits Free Thyroxine (fT4)
Free Thyroxine (fT4) (Free Thyroxine T4 (fT4))

Reactivité

  • 2
  • 2
  • 1
  • 1
  • 1
  • 1
  • 1
  • 1
  • 1
Rat

Méthode de détection

Colorimetric

Type de méthode

Competition ELISA

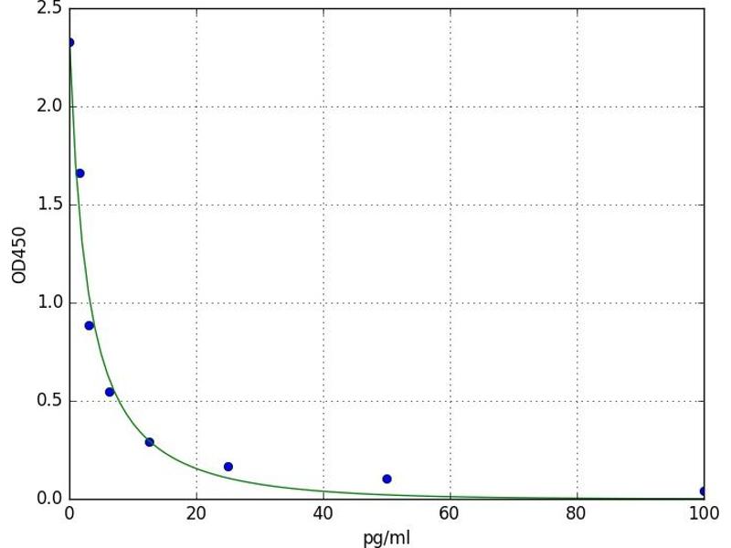
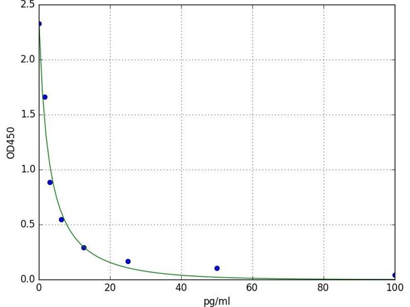
Gamme de detection

1.56 pg/mL - 100 pg/mL

Application

ELISA

Type d'échantillon

Plasma, Serum, Tissue Homogenate
  • Seuil minimal de détection

    1.56 pg/mL

    Fonction

    For quantitative detection in serum, plasma, tissue homogenates and other biological fluids.

    Analytical Method

    Quantitative

    Specificité

    FT4(Free Thyroxine)/T4/Thyroxine/Thyroxine(total T4)/total T4

    Sensibilité

    0.938 pg/mL

    Ingrédients

    - ELISA Microplate
    - Lyophilized Standard
    - Sample / Standard Dilution Buffer
    - Biotin-labeled Antibody (Concentrated)
    - Antibody Dilution Buffer
    - HRP-Streptavidin Conjugate(SABC)
    - SABC Dilution Buffer
    - TMB Substrate
    - Stop Solution
    - Wash Buffer (25X)
    - Plate Sealer
    - Product Description
  • Indications d'application

    Optimal working dilution should be determined by the investigator.

    Commentaires

    Competitive ELISA, Coated with Antigen

    Volume d'échantillon

    50 μL

    Plaque

    Pre-coated

    Restrictions

    For Research Use only
  • Stock

    4 °C

    Stockage commentaire

    4 °C for 6 months

    Date de péremption

    6 months
  • Antigène Tous les produits Free Thyroxine (fT4)

    Free Thyroxine (fT4) (Free Thyroxine T4 (fT4))

    Autre désignation

    fT4

    Sujet

    FT4(Free Thyroxine)/T4/Thyroxine/Thyroxine(total T4)/total T4
Vous êtes ici:
Chat with us!