Tel:
+49 (0)241 95 163 153
Fax:
+49 (0)241 95 163 155
E-Mail:
orders@anticorps-enligne.fr

Thyroid Stimulating Hormone Receptor Antibody,TRAb Kit ELISA

Le kit ELISA Thyroid Stimulating Hormone Receptor Antibody,TRAb (ABIN5525954) Souris est un kit ELISA Colorimetric conçu pour quantifier Souris Thyroid Stimulating Hormone Receptor Antibody,TRAb.
N° du produit ABIN5525954
601,54 €
Plus frais de livraison 40,00 € et TVA
96 tests
Destination: France
Envoi sous 11 à 15 jours ouvrables

Aperçu rapide pour Thyroid Stimulating Hormone Receptor Antibody,TRAb Kit ELISA (ABIN5525954)

Antigène

Thyroid Stimulating Hormone Receptor Antibody,TRAb

Reactivité

  • 3
  • 1
  • 1
  • 1
  • 1
  • 1
  • 1
  • 1
  • 1
  • 1
  • 1
Souris

Méthode de détection

Colorimetric

Type de méthode

Sandwich ELISA

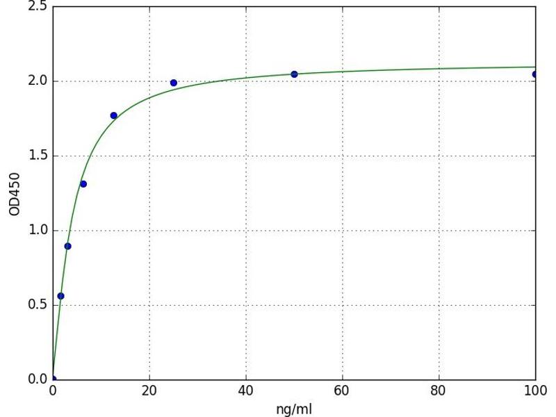
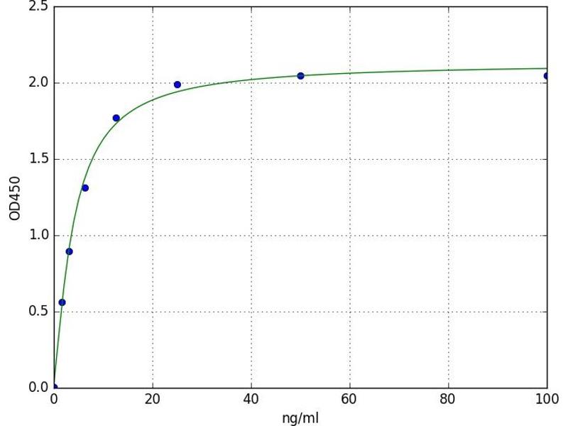
Gamme de detection

1.56 ng/mL - 100 ng/mL

Application

ELISA

Type d'échantillon

Plasma, Serum, Tissue Homogenate
  • Seuil minimal de détection

    1.56 ng/mL

    Fonction

    For quantitative detection in serum, plasma, tissue homogenates and other biological fluids.

    Analytical Method

    Quantitative

    Specificité

    TRAb

    Sensibilité

    0.938 ng/mL

    Ingrédients

    - ELISA Microplate
    - Lyophilized Standard
    - Sample / Standard Dilution Buffer
    - Biotin-labeled Antibody (Concentrated)
    - Antibody Dilution Buffer
    - HRP-Streptavidin Conjugate(SABC)
    - SABC Dilution Buffer
    - TMB Substrate
    - Stop Solution
    - Wash Buffer (25X)
    - Plate Sealer
    - Product Description

    Matériel non inclus

    - Microplate reader (wavelength: 450nm)
    - 37 °C incubator
    - Automated plate washer
    - Precision single and multi-channel pipette and disposable tips
    - Clean tubes and Eppendorf tubes
    - Deionized or distilled water
  • Indications d'application

    Optimal working dilution should be determined by the investigator.

    Commentaires

    Sandwich ELISA, Double Antigen

    Volume d'échantillon

    100 μL

    Plaque

    Pre-coated

    Restrictions

    For Research Use only
  • Stock

    4 °C

    Stockage commentaire

    4 °C for 6 months

    Date de péremption

    6 months
  • Antigène

    Thyroid Stimulating Hormone Receptor Antibody,TRAb

    Autre désignation

    TRAb

    Classe de substances

    Antibody

    Sujet

    TRAb
Vous êtes ici:
Chat with us!