Ki-67 Kit ELISA
Aperçu rapide pour Ki-67 Kit ELISA (ABIN5696261)
Antigène
Voir toutes Ki-67 (MKI67) Kits ELISAReactivité
Méthode de détection
Type de méthode
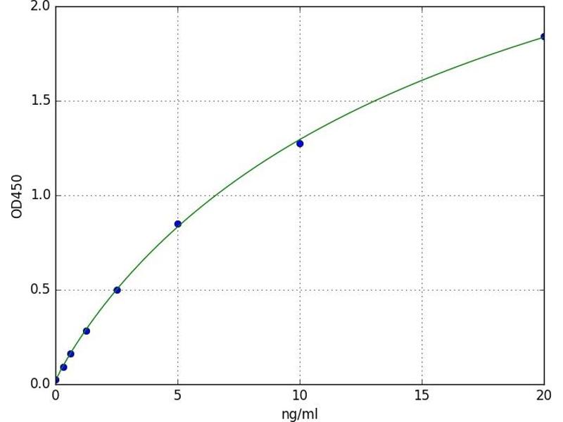
Gamme de detection
Application
-
-
Seuil minimal de détection
- 0.31 ng/mL
-
Analytical Method
- Quantitative
-
Sensibilité
- 0188 ng/mL
-
-
-
-
Indications d'application
- Optimal working dilution should be determined by the investigator.
-
Commentaires
-
Sandwich ELISA, Double Antibody
-
Plaque
- Pre-coated
-
Restrictions
- For Research Use only
-
-
-
Stock
- 4 °C
-
Date de péremption
- 6 months
-
-
- Ki-67 (MKI67) (Antigen Identified By Monoclonal Antibody Ki-67 (MKI67))
-
Autre désignation
- Ki67 (Proliferation marker protein Ki-67)
-
Pathways
- Glycosaminoglycan Metabolic Process
Antigène Voir toutes Ki-67 (MKI67) Kits ELISA
-