Tel:
+49 (0)241 95 163 153
Fax:
+49 (0)241 95 163 155
E-Mail:
orders@anticorps-enligne.fr

Noradrenaline/Norepinephrine Kit ELISA

Kit ELISA Noradrenaline/Norepinephrine Différentes espèces, Colorimetric test pour la quantification de Différentes espèces Noradrenaline/Norepinephrine.
N° du produit ABIN5696315
481,54 €
Plus frais de livraison 40,00 € et TVA
96 tests
Destination: France
Envoi sous 11 à 15 jours ouvrables

Aperçu rapide pour Noradrenaline/Norepinephrine Kit ELISA (ABIN5696315)

Antigène

Noradrenaline/Norepinephrine

Reactivité

  • 2
  • 1
  • 1
  • 1
Différentes espèces

Méthode de détection

Colorimetric

Type de méthode

Competition ELISA

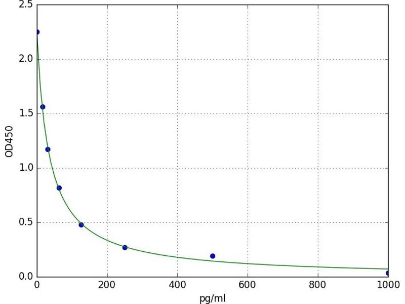
Gamme de detection

15.63 pg/mL - 1000 pg/mL

Application

ELISA
  • Seuil minimal de détection

    15.63 pg/mL

    Analytical Method

    Quantitative

    Sensibilité

    9375 pg/mL
  • Indications d'application

    Optimal working dilution should be determined by the investigator.

    Commentaires

    Competitive ELISA, Coated with Antigen

    Plaque

    Pre-coated

    Restrictions

    For Research Use only
  • Stock

    4 °C

    Date de péremption

    6 months
  • Antigène

    Noradrenaline/Norepinephrine

    Autre désignation

    NA/NE (Noradrenaline/Norepinephrine)

    Classe de substances

    Chemical

    Sujet

    NA/NE(Noradrenaline/Norepinephrine)
Vous êtes ici:
Chat with us!