Tel:
+49 (0)241 95 163 153
Fax:
+49 (0)241 95 163 155
E-Mail:
orders@anticorps-enligne.fr

P-Selectin Kit ELISA

Ce kit ELISA Colorimetric est destiné à la mesure quantitative de Humain P-Selectin.
N° du produit ABIN5696385
481,54 €
Plus frais de livraison 40,00 € et TVA
96 tests
Destination: France
Envoi sous 11 à 15 jours ouvrables

Aperçu rapide pour P-Selectin Kit ELISA (ABIN5696385)

Antigène

Voir toutes P-Selectin (SELP) Kits ELISA
P-Selectin (SELP) (Selectin P (Granule Membrane Protein 140kDa, Antigen CD62) (SELP))

Reactivité

  • 14
  • 14
  • 7
  • 7
  • 3
  • 2
  • 2
  • 2
  • 2
  • 2
  • 1
  • 1
Humain

Méthode de détection

Colorimetric

Type de méthode

Sandwich ELISA

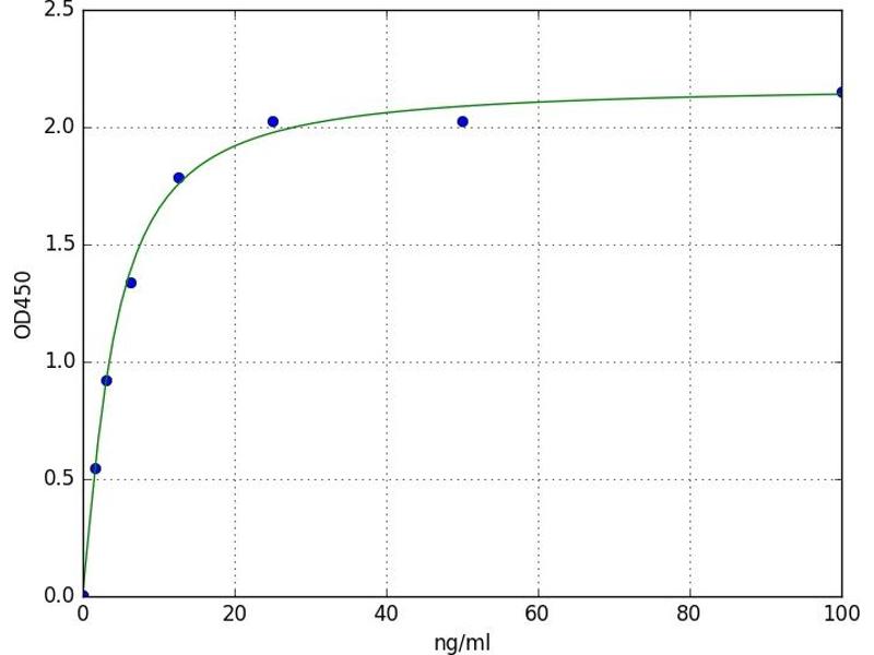
Gamme de detection

0.156 ng/mL - 10 ng/mL

Application

ELISA

Type d'échantillon

Plasma, Serum, Tissue Homogenate
  • Seuil minimal de détection

    0.156 ng/mL

    Fonction

    For quantitative detection of sSELP in serum, plasma, tissue homogenates.

    Analytical Method

    Quantitative

    Specificité

    This assay has high sensitivity and excellent specificity for detection of sSELP. No significant cross-reactivity or interference between sSELP and analogues was observed. Note: Limited by current skills and knowledge, it is difficult for us to complete the cross-reactivity detection between sSELP and all the analogues, therefore, cross reaction may still exist.

    Sensibilité

    0.094 ng/mL
  • Indications d'application

    Optimal working dilution should be determined by the investigator.

    Commentaires

    Sandwich ELISA, Double Antibody

    Plaque

    Pre-coated

    Restrictions

    For Research Use only
  • Stock

    4 °C

    Stockage commentaire

    1. For unopened kit: All the reagents should be kept according to the labels on vials. The Reference Standard and the 96-well stripe plate should be stored at -20 °C upon receipt while the other reagents should be stored at 4 °C.
    2. For used kit: When the kit is used, the remaining reagents need to be stored according to the above storage condition. Besides, please return the unused wells to the foil pouch containing the desiccant pack, and zip-seal the foil pouch.

    Date de péremption

    6 months
  • Antigène Voir toutes P-Selectin (SELP) Kits ELISA

    P-Selectin (SELP) (Selectin P (Granule Membrane Protein 140kDa, Antigen CD62) (SELP))

    Autre désignation

    sSELP (Soluble P-Selectin)

    Sujet

    SSELP/Soluble P-Selectin
Vous êtes ici:
Chat with us!