Tel:
+49 (0)241 95 163 153
Fax:
+49 (0)241 95 163 155
E-Mail:
orders@anticorps-enligne.fr

beta2-GP1 Ab IgA Kit ELISA

Ce kit ELISA Colorimetric est destiné à la mesure quantitative de Humain beta2-GP1 Ab IgA.
N° du produit ABIN5696460
601,54 €
Plus frais de livraison 40,00 € et TVA
96 tests
Destination: France
Envoi sous 11 à 15 jours ouvrables

Aperçu rapide pour beta2-GP1 Ab IgA Kit ELISA (ABIN5696460)

Antigène

Tous les produits beta2-GP1 Ab IgA
beta2-GP1 Ab IgA (Beta2-Glycoprotein 1 Antibody IgA (beta2-GP1 Ab IgA))

Reactivité

  • 3
  • 1
  • 1
  • 1
  • 1
  • 1
  • 1
  • 1
  • 1
  • 1
  • 1
Humain

Méthode de détection

Colorimetric

Type de méthode

Sandwich ELISA

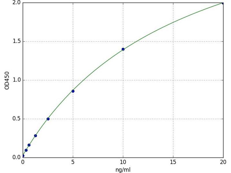
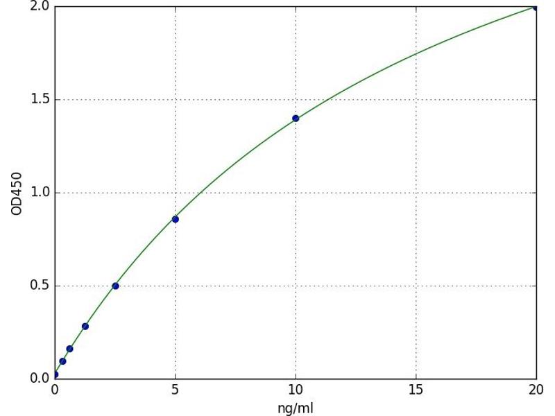
Gamme de detection

0.313 ng/mL - 20 ng/mL

Application

ELISA

Type d'échantillon

Plasma, Serum, Tissue Homogenate
  • Seuil minimal de détection

    0.313 ng/mL

    Fonction

    For quantitative detection of β2-GP1 Ab IgA in serum, plasma, tissue homogenates.

    Analytical Method

    Quantitative

    Specificité

    This assay has high sensitivity and excellent specificity for detection of β2-GP1 Ab IgA. No significant cross- reactivity or interference between β2-GP1 Ab IgA and analogues was observed. Note: Limited by current skills and knowledge, it is difficult for us to complete the cross-reactivity detection between β2-GP1 Ab IgA and all the analogues, therefore, cross reaction may still exist.

    Sensibilité

    0.188 ng/mL
  • Indications d'application

    Optimal working dilution should be determined by the investigator.

    Commentaires

    Sandwich ELISA, Double Antigen

    Plaque

    Pre-coated

    Restrictions

    For Research Use only
  • Stock

    4 °C

    Stockage commentaire

    1. For unopened kit: All the reagents should be kept according to the labels on vials. The Reference Standard and the 96-well stripe plate should be stored at -20 °C upon receipt while the other reagents should be stored at 4 °C.
    2. For used kit: When the kit is used, the remaining reagents need to be stored according to the above storage condition. Besides, please return the unused wells to the foil pouch containing the desiccant pack, and zip-seal the foil pouch.

    Date de péremption

    6 months
  • Antigène Tous les produits beta2-GP1 Ab IgA

    beta2-GP1 Ab IgA (Beta2-Glycoprotein 1 Antibody IgA (beta2-GP1 Ab IgA))

    Autre désignation

    beta2-GP1 Ab IgA (beta2-Glycoprotein 1 antibody IgA)

    Classe de substances

    Antibody

    Sujet

    β2-GP1 Ab IgA
Vous êtes ici:
Chat with us!