Tel:
+49 (0)241 95 163 153
Fax:
+49 (0)241 95 163 155
E-Mail:
orders@anticorps-enligne.fr

OVA sIgE Kit ELISA

Le kit ELISA OVA sIgE (ABIN5696482) Humain est un kit ELISA Colorimetric conçu pour quantifier Humain OVA sIgE.
N° du produit ABIN5696482
601,54 €
Plus frais de livraison 40,00 € et TVA
96 tests
Destination: France
Envoi sous 11 à 15 jours ouvrables

Aperçu rapide pour OVA sIgE Kit ELISA (ABIN5696482)

Antigène

Tous les produits OVA sIgE
OVA sIgE (Ovalbumin Specific IgE (OVA sIgE))

Reactivité

  • 3
  • 3
  • 2
  • 2
  • 2
  • 2
  • 2
  • 1
  • 1
  • 1
  • 1
  • 1
Humain

Méthode de détection

Colorimetric

Type de méthode

Indirect ELISA

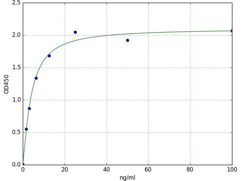
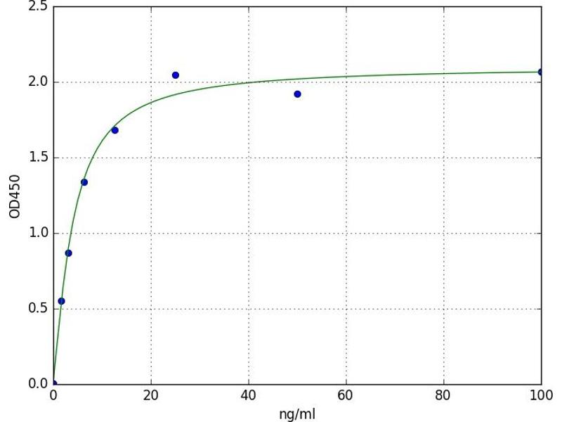
Gamme de detection

1.563 ng/mL - 100 ng/mL

Application

ELISA

Type d'échantillon

Plasma, Serum, Tissue Homogenate
  • Seuil minimal de détection

    1.563 ng/mL

    Fonction

    For quantitative detection of OVA sIgE in serum, plasma, tissue homogenates.

    Analytical Method

    Quantitative

    Specificité

    This assay has high sensitivity and excellent specificity for detection of OVA sIgE. No significant cross- reactivity or interference between OVA sIgE and analogues was observed. Note: Limited by current skills and knowledge, it is difficult for us to complete the cross-reactivity detection between OVA sIgE and all the analogues, therefore, cross reaction may still exist.

    Sensibilité

    0.938 ng/mL
  • Indications d'application

    Optimal working dilution should be determined by the investigator.

    Commentaires

    Indirect ELISA

    Plaque

    Pre-coated

    Restrictions

    For Research Use only
  • Stock

    4 °C

    Stockage commentaire

    1. For unopened kit: All the reagents should be kept according to the labels on vials. The Reference Standard and the 96-well stripe plate should be stored at -20 °C upon receipt while the other reagents should be stored at 4 °C.
    2. For used kit: When the kit is used, the remaining reagents need to be stored according to the above storage condition. Besides, please return the unused wells to the foil pouch containing the desiccant pack, and zip-seal the foil pouch.

    Date de péremption

    6 months
  • Antigène Tous les produits OVA sIgE

    OVA sIgE (Ovalbumin Specific IgE (OVA sIgE))

    Autre désignation

    OVA sIgE (Ovalbumin Specific IgE)

    Classe de substances

    Antibody

    Sujet

    OVA sIgE
Vous êtes ici:
Chat with us!