Tel:
+49 (0)241 95 163 153
Fax:
+49 (0)241 95 163 155
E-Mail:
orders@anticorps-enligne.fr

Cortisol Kit ELISA

Le kit ELISA Cortisol (ABIN5696530) Souris est un kit ELISA Colorimetric conçu pour quantifier Souris Cortisol. Ce kit ELISA a été cité dans 1 publication.
N° du produit ABIN5696530
481,54 €
Plus frais de livraison 40,00 € et TVA
96 tests
Destination: France
Envoi sous 11 à 15 jours ouvrables

Aperçu rapide pour Cortisol Kit ELISA (ABIN5696530)

Antigène

Voir toutes Cortisol Kits ELISA
Cortisol

Reactivité

  • 9
  • 9
  • 4
  • 4
  • 4
  • 3
  • 3
  • 3
  • 3
  • 2
  • 2
  • 2
  • 2
  • 2
  • 2
  • 2
  • 1
Souris

Méthode de détection

Colorimetric

Type de méthode

Competition ELISA

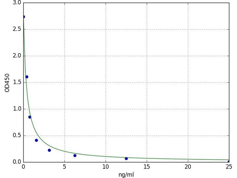
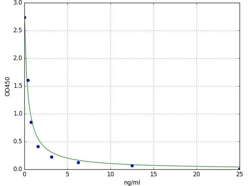
Gamme de detection

0.39 ng/mL - 25 ng/mL

Application

ELISA
  • Seuil minimal de détection

    0.39 ng/mL

    Analytical Method

    Quantitative

    Sensibilité

    0234 ng/mL
  • Indications d'application

    Optimal working dilution should be determined by the investigator.

    Commentaires

    Competitive ELISA, Coated with Antigen

    Plaque

    Pre-coated

    Restrictions

    For Research Use only
  • Stock

    4 °C

    Date de péremption

    6 months
  • Do, Woo: "From Gut to Brain: Alteration in Inflammation Markers in the Brain of Dextran Sodium Sulfate-induced Colitis Model Mice." dans: Clinical psychopharmacology and neuroscience : the official scientific journal of the Korean College of Neuropsychopharmacology, Vol. 16, Issue 4, pp. 422-433, (2018) (PubMed).

  • Antigène Voir toutes Cortisol Kits ELISA

    Cortisol

    Autre désignation

    COR (Cortisol)

    Classe de substances

    Hormone
Vous êtes ici:
Chat with us!