Tel:
+49 (0)241 95 163 153
Fax:
+49 (0)241 95 163 155
E-Mail:
orders@anticorps-enligne.fr

Hemoglobin Subunit beta Kit ELISA

Ce kit ELISA Colorimetric est destiné à la mesure quantitative de Humain Hemoglobin Subunit beta.
N° du produit ABIN5696799
601,54 €
Plus frais de livraison 40,00 € et TVA
96 tests
Destination: France
Envoi sous 11 à 15 jours ouvrables

Aperçu rapide pour Hemoglobin Subunit beta Kit ELISA (ABIN5696799)

Antigène

Voir toutes Hemoglobin Subunit beta (HBB) Kits ELISA
Hemoglobin Subunit beta (HBB) (Hemoglobin beta (HBB))

Reactivité

  • 9
  • 2
  • 2
  • 2
  • 2
  • 2
  • 2
  • 1
  • 1
  • 1
  • 1
  • 1
Humain

Méthode de détection

Colorimetric

Type de méthode

Sandwich ELISA

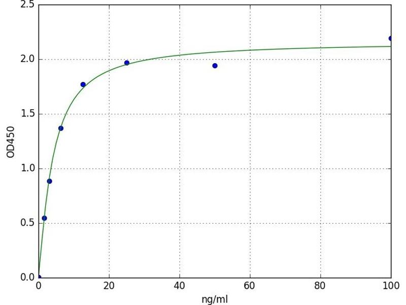
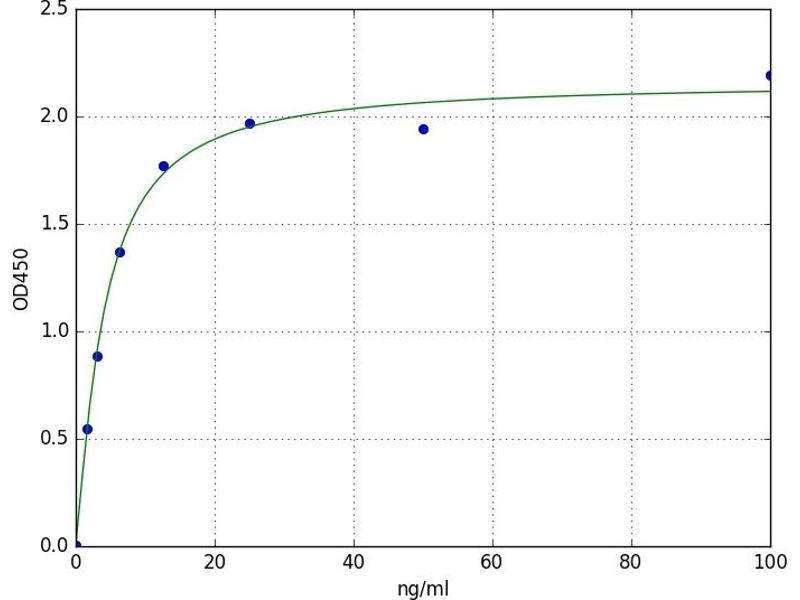
Gamme de detection

1.563 ng/mL - 100 ng/mL

Application

ELISA

Type d'échantillon

Red Blood Cell Lysate
  • Seuil minimal de détection

    1.563 ng/mL

    Fonction

    For quantitative detection of HBβ in Red Blood Cell Lysis.

    Analytical Method

    Quantitative

    Specificité

    This assay has high sensitivity and excellent specificity for detection of HBβ. No significant cross-reactivity or interference between HBβ and analogues was observed. Note: Limited by current skills and knowledge, it is difficult for us to complete the cross-reactivity detection between HBβ and all the analogues, therefore, cross reaction may still exist.

    Sensibilité

    0.938 ng/mL
  • Indications d'application

    Optimal working dilution should be determined by the investigator.

    Commentaires

    Sandwich ELISA, Double Antibody

    Plaque

    Pre-coated

    Restrictions

    For Research Use only
  • Stock

    4 °C

    Stockage commentaire

    1. For unopened kit: All the reagents should be kept according to the labels on vials. The Reference Standard and the 96-well stripe plate should be stored at -20 °C upon receipt while the other reagents should be stored at 4 °C.
    2. For used kit: When the kit is used, the remaining reagents need to be stored according to the above storage condition. Besides, please return the unused wells to the foil pouch containing the desiccant pack, and zip-seal the foil pouch.

    Date de péremption

    6 months
  • Antigène Voir toutes Hemoglobin Subunit beta (HBB) Kits ELISA

    Hemoglobin Subunit beta (HBB) (Hemoglobin beta (HBB))

    Autre désignation

    HBbeta (Hemoglobin Beta)

    Classe de substances

    Viral Protein

    Sujet

    HBβ/HBB(Hemoglobin subunit beta)/Beta-globin/Hemoglobin beta chain
Vous êtes ici:
Chat with us!