Tel:
+49 (0)241 95 163 153
Fax:
+49 (0)241 95 163 155
E-Mail:
orders@anticorps-enligne.fr

3-Nitrotyrosine (3 NT) Kit ELISA

Kit ELISA 3-Nitrotyrosine (3 NT) Différentes espèces, Colorimetric test pour la quantification de Différentes espèces 3-Nitrotyrosine (3 NT).
N° du produit ABIN5706190
481,54 €
Plus frais de livraison 40,00 € et TVA
96 tests
Destination: France
Envoi sous 11 à 15 jours ouvrables

Aperçu rapide pour 3-Nitrotyrosine (3 NT) Kit ELISA (ABIN5706190)

Antigène

3-Nitrotyrosine (3 NT)

Reactivité

  • 3
  • 2
  • 1
  • 1
  • 1
  • 1
  • 1
  • 1
  • 1
  • 1
  • 1
  • 1
  • 1
Différentes espèces

Méthode de détection

Colorimetric

Type de méthode

Competition ELISA

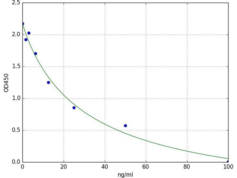
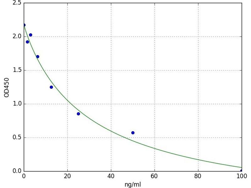
Gamme de detection

1.56 ng/mL - 100 ng/mL

Application

ELISA
  • Seuil minimal de détection

    1.56 ng/mL

    Analytical Method

    Quantitative

    Sensibilité

    0938 ng/mL
  • Indications d'application

    Optimal working dilution should be determined by the investigator.

    Commentaires

    Competitive ELISA, Coated with Antigen

    Plaque

    Pre-coated

    Restrictions

    For Research Use only
  • Stock

    4 °C

    Date de péremption

    6 months
  • Antigène

    3-Nitrotyrosine (3 NT)

    Autre désignation

    3-Nitrotyrosine

    Classe de substances

    Chemical

    Sujet

    3-NT(3-Nitrotyrosine)
Vous êtes ici:
Chat with us!