Tel:
+49 (0)241 95 163 153
Fax:
+49 (0)241 95 163 155
E-Mail:
orders@anticorps-enligne.fr

Anti-C1q Kit ELISA

Kit ELISA Anti-C1q Humain, Colorimetric test pour la quantification de Humain Anti-C1q.
N° du produit ABIN5706220
601,54 €
Plus frais de livraison 40,00 € et TVA
96 tests
Destination: France
Envoi sous 11 à 15 jours ouvrables

Aperçu rapide pour Anti-C1q Kit ELISA (ABIN5706220)

Antigène

Tous les produits Anti-C1q
Anti-C1q (Anti-Complement 1q Antibody (Anti-C1q))

Reactivité

  • 2
  • 1
  • 1
  • 1
  • 1
  • 1
  • 1
  • 1
  • 1
  • 1
Humain

Méthode de détection

Colorimetric

Type de méthode

Sandwich ELISA

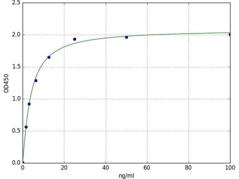
Gamme de detection

1.563 ng/mL - 100 ng/mL

Application

ELISA

Type d'échantillon

Plasma, Serum, Tissue Homogenate
  • Seuil minimal de détection

    1.563 ng/mL

    Fonction

    For quantitative detection of C1q-Ab in serum, plasma, tissue homogenates.

    Analytical Method

    Quantitative

    Specificité

    This assay has high sensitivity and excellent specificity for detection of C1q-Ab. No significant cross-reactivity or interference between C1q-Ab and analogues was observed. Note: Limited by current skills and knowledge, it is difficult for us to complete the cross-reactivity detection between C1q-Ab and all the analogues, therefore, cross reaction may still exist.

    Sensibilité

    0.938 ng/mL
  • Indications d'application

    Optimal working dilution should be determined by the investigator.

    Commentaires

    Sandwich ELISA, Double Antigen

    Plaque

    Pre-coated

    Restrictions

    For Research Use only
  • Stock

    4 °C

    Stockage commentaire

    1. For unopened kit: All the reagents should be kept according to the labels on vials. The Reference Standard and the 96-well stripe plate should be stored at -20 °C upon receipt while the other reagents should be stored at 4 °C.
    2. For used kit: When the kit is used, the remaining reagents need to be stored according to the above storage condition. Besides, please return the unused wells to the foil pouch containing the desiccant pack, and zip-seal the foil pouch.

    Date de péremption

    6 months
  • Antigène Tous les produits Anti-C1q

    Anti-C1q (Anti-Complement 1q Antibody (Anti-C1q))

    Autre désignation

    Anti-Complement 1q Antibody

    Classe de substances

    Antibody

    Sujet

    C1q-Ab
Vous êtes ici:
Chat with us!