Tel:
+49 (0)241 95 163 153
Fax:
+49 (0)241 95 163 155
E-Mail:
orders@anticorps-enligne.fr

Serotonin Kit ELISA

Ce kit ELISA Colorimetric est destiné à la mesure quantitative de Différentes espèces Serotonin.
N° du produit ABIN5706365
577,85 €
Plus frais de livraison 40,00 € et TVA
96 tests
Destination: France
Envoi sous 11 à 15 jours ouvrables

Aperçu rapide pour Serotonin Kit ELISA (ABIN5706365)

Antigène

Voir toutes Serotonin (5-HT) Kits ELISA
Serotonin (5-HT) (5-Hydroxytryptamine (5-HT))

Reactivité

  • 4
  • 3
  • 3
  • 3
  • 3
  • 2
  • 1
  • 1
  • 1
  • 1
  • 1
  • 1
  • 1
  • 1
Différentes espèces

Méthode de détection

Colorimetric

Type de méthode

Competition ELISA

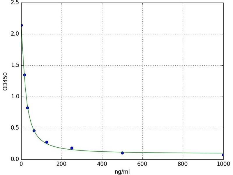
Gamme de detection

15.63 ng/mL - 1000 ng/mL

Application

ELISA
  • Seuil minimal de détection

    15.63 ng/mL

    Analytical Method

    Quantitative

    Sensibilité

    9375 ng/mL
  • Indications d'application

    Optimal working dilution should be determined by the investigator.

    Commentaires

    Competitive ELISA, Coated with Antigen

    Plaque

    Pre-coated

    Restrictions

    For Research Use only
  • Stock

    4 °C

    Date de péremption

    6 months
  • Antigène Voir toutes Serotonin (5-HT) Kits ELISA

    Serotonin (5-HT) (5-Hydroxytryptamine (5-HT))

    Autre désignation

    5-hydroxytryptamine

    Classe de substances

    Chemical

    Sujet

    ST/5-HT(Serotonin/5-Hydroxytryptamine)
Vous êtes ici:
Chat with us!