Tel:
+49 (0)241 95 163 153
Fax:
+49 (0)241 95 163 155
E-Mail:
orders@anticorps-enligne.fr

PAG1 Kits ELISA

(Pregnancy-Associated Glycoprotein 1 (PAG1))

Choisissez l’un des 2 kits ELISA PAG1 de notre catalogue basés sur 1 image de validation.

Découvrez des anticorps PAG1 fiables issus d’une vaste sélection de fabricants renommés. Notre portefeuille permet une détection précise de PAG1 dans plusieurs espèces, y compris Cow, Pig, et prend en charge diverses applications de recherche telles que .

Trouvez rapidement l’anticorps le plus adapté grâce à nos outils de recherche, de filtrage et de comparaison. Chaque page produit fournit des données de validation détaillées, des références bibliographiques et des retours d’utilisateurs. Contrairement aux plateformes exclusivement comparatives, notre site vous permet d’acheter directement les anticorps sélectionnés, garantissant un processus d’approvisionnement fluide et efficace. Choisissez parmi des anticorps polyclonaux, monoclonaux ou recombinants PAG1, issus de différents hôtes tels que . Parcourez nos produits ci-dessous et commandez directement pour soutenir vos recherches en toute confiance.

Les noms alternatifs de PAG1 sont PAG1, PPAG3.

2 Résultats

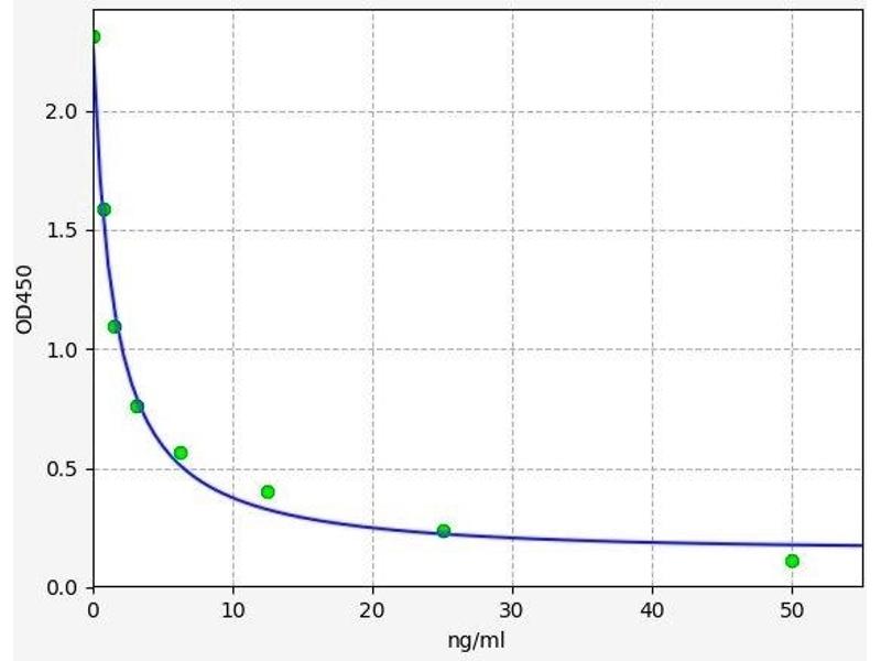
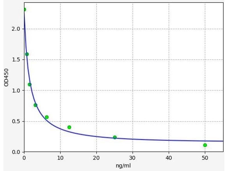
PAG1 Reactivité: Boeuf (Vache) Colorimetric Competition ELISA 0.781 ng/mL - 50 ng/mL Plasma, Serum, Tissue Homogenate
N° du produit ABIN6969477
693,85 €
Plus frais de livraison 40,00 € et TVA
96 tests
Destination: France
Envoi sous 11 à 15 jours ouvrables
 
PAG1 Reactivité: Porc Colorimetric Sandwich ELISA 31.2 pg/mL - 2000 pg/mL Plasma, Serum
N° du produit ABIN6214160
1.111,46 €
Plus frais de livraison 40,00 € et TVA
96 tests
Destination: France
Envoi sous 12 à 23 jours ouvrables
 
  • Type Kit
    • Kit
  • Application ELISA
    • ELISA
  • Réactivité
    • Cow
    • Pig
  • Images disponible
  • Type de méthode
    • Competition ELISA
    • Sandwich ELISA
  • Analytical Method
    • Quantitative
  • Méthode de détection
    • Colorimetric
  • Plate
    • Pre-coated
  • Conjugué
    • Inconjugué
  • Sample
    • Plasma
    • Serum
    • Tissue Homogenate
  • Supplier
    • Abbexa
    • antibodies-online

Pseudonymes pour PAG1 Kits ELISA

pregnancy-associated glycoprotein 1 (PAG1) Kits ELISA
pregnancy-associated glycoprotein 3 (PPAG3) Kits ELISA
PAG1 Kits ELISA
PAG1B Kits ELISA
Vous êtes ici:
Chat with us!