Tel:
+49 (0)241 95 163 153
Fax:
+49 (0)241 95 163 155
E-Mail:
orders@anticorps-enligne.fr

tau Protein (full length, P301S)

Protéine Recombinant tau exprimée dans Escherichia coli (E. coli).
N° du produit ABIN6929397
712,50 €
Frais d'envoi 40,00 €, glace carbonique 20,00 € et TVA exclus
100 μg
Destination: France
Envoi sous 7 à 10 jours ouvrables

Aperçu rapide pour tau Protein (full length, P301S) (ABIN6929397)

Antigène

Voir toutes tau Protéines
tau (tau Protein)

Type de proteíne

Recombinant

Activité biologique

Active

Origine

  • 8
  • 3
  • 1
  • 1
Humain

Source

  • 12
  • 1
Escherichia coli (E. coli)

Application

SDS-PAGE (SDS), Western Blotting (WB), In vitro Assay (in vitro), In vivo Studies (in vivo)
  • Attributs du protein

    P301S, full length

    Fonction

    Active Human Recombinant Tau441 (2N4R), P301S mutant Protein Pre-formed Fibrils

    Séquence

    MAEPRQEFEV MEDHAGTYGL GDRKDQGGYT MHQDQEGDTD AGLKESPLQT PTEDGSEEPG SETSDAKSTP TAEDVTAPLV DEGAPGKQAA AQPHTEIPEG TTAEEAGIGD TPSLEDEAAG HVTQARMVSK SKDGTGSDDK KAKGADGKTK IATPRGAAPP GQKGQANATR IPAKTPPAPK TPPSSGEPPK SGDRSGYSSP GSPGTPGSRS RTPSLPTPPT REPKKVAVVR TPPKSPSSAK SRLQTAPVPM PDLKNVKSKI GSTENLKHQP GGGKVQIINK KLDLSNVQSK CGSKDNIKHV SGGGSVQIVY KPVDLSKVTS KCGSLGNIHH KPGGGQVEVK SEKLDFKDRV QSKIGSLDNI THVPGGGNKK IETHKLTFRE NAKAKTDHGA EIVYKSPVVS GDTSPRHLSN VSSTGSIDMV DSPQLATLAD EVSASLAKQG L

    Specificité

    ~45.8 kDa

    Purification

    Ion-exchange Purified

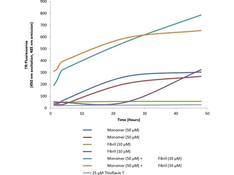
    Biological Activity Comment

    Thioflavin T emission curve shows increased fluorescence (correlated to tau protein fibrillation) when active tau PFFs are combined with active tau monomers.
  • Vous souhaitez d'autres options pour ce Protein ?

    !
    Découvrez nos protéines personnalisées prédéfinies et nos services de protéines sur mesure !

    Votre projet nécessite-t-il une personnalisation supplémentaire ? Contactez-nous et découvrez nos solutions protéiques sur mesure

  • Indications d'application

    Optimal working dilution should be determined by the investigator.

    Restrictions

    For Research Use only
  • Concentration

    Lot specific

    Buffer

    10 mM HEPES, 100 mM NaCl pH 7.4

    Stock

    -80 °C
  • Antigène

    tau (tau Protein)

    Autre désignation

    Tau

    Sujet

    Alzheimer's Disease (AD) is the most common neurodegenerative disease, affecting 10 % of seniors over the age of 65 (1). It was named after Alois Alzheimer, a German scientist who discovered tangled bundles of fibrils where neurons had once been in the brain of a deceased patient in 1907 (2). Tau (tubulin-associated unit) is normally located in the axons of neurons where it stabilizes microtubules. Tauopathies such as AD are characterized by neurofibrillary tangles containing hyperphosphorylated tau fibrils (3). There are six isoforms of tau in the adult human brain: three with four repeat units (4R) and three with three repeat units (3R) (4). 2N4R, or Tau-441 is the full length tau protein. P301S is a mutation encoded by exon 10 (4) that impairs the ability of tau to assemble microtubules (5).

    NCBI Accession

    NP_005901

    UniProt

    P10636
Vous êtes ici:
Chat with us!