Tel:
+49 (0)241 95 163 153
Fax:
+49 (0)241 95 163 155
E-Mail:
orders@anticorps-enligne.fr

CIC Kits ELISA

(Capicua Homolog (CIC))

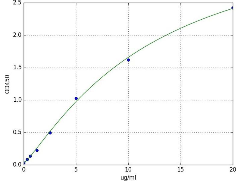
Choisissez l’un des 2 kits ELISA CIC de notre catalogue basés sur 1 image de validation.

Découvrez des anticorps CIC fiables issus d’une vaste sélection de fabricants renommés. Notre portefeuille permet une détection précise de CIC dans plusieurs espèces, y compris Monkey, Rat, et prend en charge diverses applications de recherche telles que .

Trouvez rapidement l’anticorps le plus adapté grâce à nos outils de recherche, de filtrage et de comparaison. Chaque page produit fournit des données de validation détaillées, des références bibliographiques et des retours d’utilisateurs. Contrairement aux plateformes exclusivement comparatives, notre site vous permet d’acheter directement les anticorps sélectionnés, garantissant un processus d’approvisionnement fluide et efficace. Choisissez parmi des anticorps polyclonaux, monoclonaux ou recombinants CIC, issus de différents hôtes tels que . Parcourez nos produits ci-dessous et commandez directement pour soutenir vos recherches en toute confiance.

Les noms alternatifs de CIC sont cicb, CIC, Cic.

2 Résultats

CIC Reactivité: Singe Colorimetric Sandwich ELISA 0.31 μg/mL - 20 μg/mL Plasma, Serum, Tissue Homogenate
N° du produit ABIN5524145
652,31 €
Plus frais de livraison 40,00 € et TVA
96 tests
Destination: France
Envoi sous 11 à 15 jours ouvrables
 
CIC Reactivité: Rat Colorimetric 19.53-5000 pg/mL Plasma, Serum
N° du produit ABIN832471
697,92 €
Plus frais de livraison 40,00 € et TVA
96 tests (Autres quantités disponibles)
Destination: France
Envoi sous 11 à 15 jours ouvrables
 
  • Type Kit
    • Kit
  • Application ELISA
    • ELISA
  • Réactivité
    • Monkey
    • Rat
  • Images disponible
  • Type de méthode
    • Sandwich ELISA
  • Analytical Method
    • Quantitative
  • Méthode de détection
    • Colorimetric
  • Plate
    • Pre-coated
  • Conjugué
    • Inconjugué
  • Sample
    • Plasma
    • Serum
    • Tissue Homogenate
  • Supplier
    • CUSABIO
    • Wuhan Fine biotech

Pseudonymes pour CIC Kits ELISA

capicua transcriptional repressor b (cicb) Kits ELISA
capicua transcriptional repressor (CIC) Kits ELISA
capicua transcriptional repressor (Cic) Kits ELISA
1200010B10Rik Kits ELISA
CIC Kits ELISA
mKIAA0306 Kits ELISA
wu:fb93c01 Kits ELISA
Vous êtes ici:
Chat with us!