Tel:
+49 (0)241 95 163 153
Fax:
+49 (0)241 95 163 155
E-Mail:
orders@anticorps-enligne.fr

CRYAA Kits ELISA

(Crystallin, alpha A (CRYAA))

Choisissez l’un des 8 kits ELISA CRYAA de notre catalogue basés sur 1 publication et 2 images de validation.

Découvrez des anticorps CRYAA fiables issus d’une vaste sélection de fabricants renommés. Notre portefeuille permet une détection précise de CRYAA dans plusieurs espèces, y compris Human, Chicken, Cow, Dog, Mouse, Pig, Rat, et prend en charge diverses applications de recherche telles que .

Trouvez rapidement l’anticorps le plus adapté grâce à nos outils de recherche, de filtrage et de comparaison. Chaque page produit fournit des données de validation détaillées, des références bibliographiques et des retours d’utilisateurs. Contrairement aux plateformes exclusivement comparatives, notre site vous permet d’acheter directement les anticorps sélectionnés, garantissant un processus d’approvisionnement fluide et efficace. Choisissez parmi des anticorps polyclonaux, monoclonaux ou recombinants CRYAA, issus de différents hôtes tels que . Parcourez nos produits ci-dessous et commandez directement pour soutenir vos recherches en toute confiance.

Les noms alternatifs de CRYAA sont CRYAA, Cryaa, CpipJ_CPIJ005646, cryaa, LOC100384978, cryaa.S, LOC458589, LOC102724652.

8 Résultats

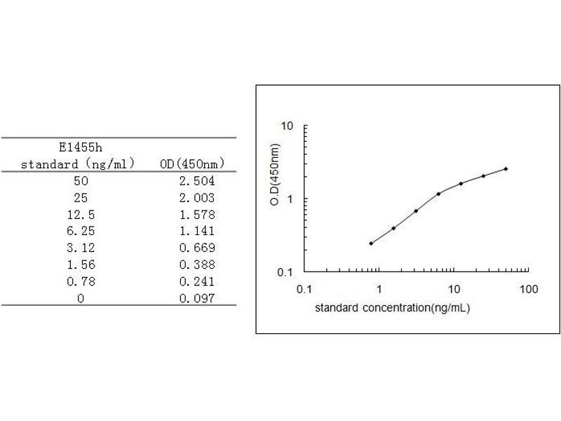
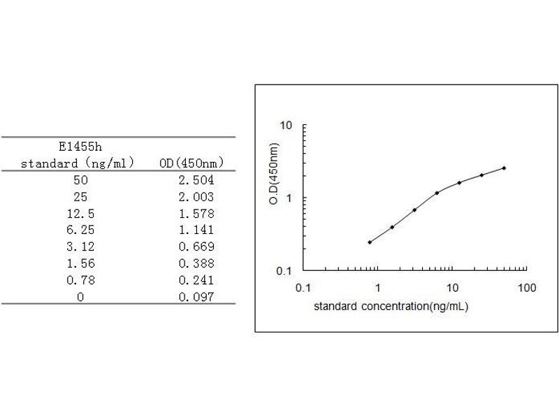
CRYAA Reactivité: Humain Colorimetric Sandwich ELISA 0.781 ng/mL - 50 ng/mL Plasma, Serum, Tissue Homogenate
N° du produit ABIN6966145
638,85 €
Plus frais de livraison 40,00 € et TVA
96 tests
Destination: France
Envoi sous 11 à 15 jours ouvrables
 
CRYAA Reactivité: Humain Colorimetric Sandwich ELISA 0.78-50 ng/mL Cell Culture Supernatant, Plasma, Serum, Tissue Homogenate
Pubmed 1 reference
N° du produit ABIN454269
828,14 €
Plus frais de livraison 40,00 € et TVA
96 tests
Destination: France
Envoi sous 13 à 17 jours ouvrables
 
CRYAA Reactivité: Souris Colorimetric
N° du produit ABIN1121270
828,14 €
Plus frais de livraison 40,00 € et TVA
96 tests
Destination: France
Envoi sous 13 à 17 jours ouvrables
 
CRYAA Reactivité: Porc Colorimetric
N° du produit ABIN1121271
993,14 €
Plus frais de livraison 40,00 € et TVA
96 tests
Destination: France
Envoi sous 13 à 17 jours ouvrables
 
CRYAA Reactivité: Poulet Colorimetric
N° du produit ABIN1121268
1.063,86 €
Plus frais de livraison 40,00 € et TVA
96 tests
Destination: France
Envoi sous 13 à 17 jours ouvrables
 
CRYAA Reactivité: Boeuf (Vache) Colorimetric
N° du produit ABIN1121267
993,14 €
Plus frais de livraison 40,00 € et TVA
96 tests
Destination: France
Envoi sous 13 à 17 jours ouvrables
 
CRYAA Reactivité: Chien Colorimetric
N° du produit ABIN1121269
1.063,86 €
Plus frais de livraison 40,00 € et TVA
96 tests
Destination: France
Envoi sous 13 à 17 jours ouvrables
 
CRYAA Reactivité: Rat Colorimetric
N° du produit ABIN1121272
828,14 €
Plus frais de livraison 40,00 € et TVA
96 tests
Destination: France
Envoi sous 13 à 17 jours ouvrables
 
  • Type Kit
    • Kit
  • Application ELISA
    • ELISA
  • Réactivité
    • Human
    • Chicken
    • Cow
    • Dog
    • Mouse
    • Pig
    • Rat
  • Cité dans publications
  • Images disponible
  • Type de méthode
    • Sandwich ELISA
  • Analytical Method
    • Quantitative
  • Méthode de détection
    • Colorimetric
  • Plate
    • Pre-coated
  • Conjugué
    • Inconjugué
  • Sample
    • Plasma
    • Serum
    • Tissue Homogenate
    • Cell Culture Supernatant
  • Supplier
    • EIAab
    • antibodies-online

Dernières publications pour nos CRYAA Kits ELISA

Yao, Liu, Yang, Zhuang, Wang, Chen, Hang, Zhang, Liu: "Proteomic analysis of the aqueous humor in patients with wet age-related macular degeneration." dans: Proteomics. Clinical applications, Vol. 7, Issue 7-8, pp. 550-60, (2013) (PubMed).

Pseudonymes pour CRYAA Kits ELISA

crystallin alpha A (CRYAA) Kits ELISA
crystallin, alpha A (Cryaa) Kits ELISA
alphaA-crystallin (CpipJ_CPIJ005646) Kits ELISA
crystallin, alpha A (CRYAA) Kits ELISA
crystallin alpha A (cryaa) Kits ELISA
crystallin alpha A (Cryaa) Kits ELISA
alpha-crystallin A chain-like (LOC100384978) Kits ELISA
crystallin alpha A S homeolog (cryaa.S) Kits ELISA
alpha-crystallin A chain (LOC458589) Kits ELISA
crystallin, alpha A (cryaa) Kits ELISA
alpha-crystallin A chain (LOC102724652) Kits ELISA
Acry-1 Kits ELISA
AI323437 Kits ELISA
alpha-a-crystallin Kits ELISA
Crya-1 Kits ELISA
CRYA1 Kits ELISA
Crya1 Kits ELISA
CRYAA Kits ELISA
cryaa-A Kits ELISA
CTRCT9 Kits ELISA
DAcry-1 Kits ELISA
HSPB4 Kits ELISA
HspB4 Kits ELISA
lop18 Kits ELISA
wu:fc06h04 Kits ELISA
zgc:92036 Kits ELISA
Vous êtes ici:
Chat with us!