PPARG Kit ELISA
Aperçu rapide pour PPARG Kit ELISA (ABIN5522374)
Antigène
Voir toutes PPARG Kits ELISAReactivité
Méthode de détection
Type de méthode
Gamme de detection
Application
Type d'échantillon
-
-
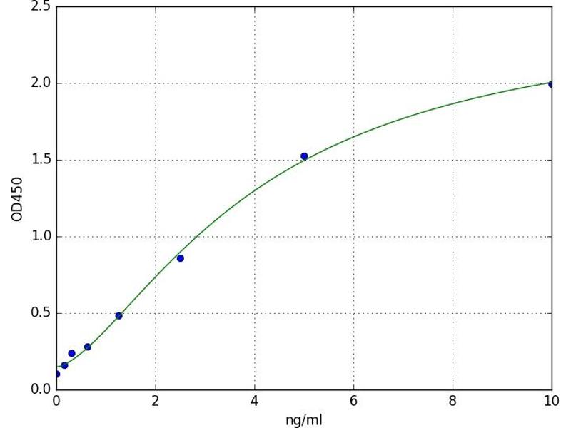
Seuil minimal de détection
- 0.156 ng/mL
-
Fonction
- For quantitative detection of PPAR-γ in serum, plasma, tissue homogenates.
-
Analytical Method
- Quantitative
-
Specificité
- This assay has high sensitivity and excellent specificity for detection of PPAR-γ. No significant cross-reactivity or interference between PPAR-γ and analogues was observed. Note: Limited by current skills and knowledge, it is difficult for us to complete the cross-reactivity detection between PPAR-γ and all the analogues, therefore, cross reaction may still exist.
-
Sensibilité
- 0.094 ng/mL
-
Ingrédients
-
- ELISA Microplate
- Lyophilized Standard
- Sample / Standard Dilution Buffer
- Biotin-labeled Antibody (Concentrated)
- Antibody Dilution Buffer
- HRP-Streptavidin Conjugate(SABC)
- SABC Dilution Buffer
- TMB Substrate
- Stop Solution
- Wash Buffer (25X)
- Plate Sealer
- Product Description
-
-
-
-
Indications d'application
- Optimal working dilution should be determined by the investigator.
-
Commentaires
-
Sandwich ELISA, Double Antibody
-
Volume d'échantillon
- 100 μL
-
Plaque
- Pre-coated
-
Restrictions
- For Research Use only
-
-
-
Stock
- 4 °C
-
Stockage commentaire
-
- For unopened kit: All the reagents should be kept according to the labels on vials. The Reference Standard and the 96-well stripe plate should be stored at -20 °C upon receipt while the other reagents should be stored at 4 °C.
- For used kit: When the kit is used, the remaining reagents need to be stored according to the above storage condition. Besides, please return the unused wells to the foil pouch containing the desiccant pack, and zip-seal the foil pouch.
-
Date de péremption
- 6 months
-
-
- PPARG (Peroxisome Proliferator-Activated Receptor gamma (PPARG))
-
Autre désignation
- PPAR-gamma
-
Sujet
- PPAR-γ/PPARG/NR1C3(Peroxisome proliferator-activated receptor gamma)/CIMT1/Nuclear receptor subfamily 1 group C member 3/peroxisome proliferator-activated receptor gamma 1/PPAR gamma/PPARG1/peroxisome proliferative activated receptor, gamma/PPARG2/PPARgam
-
UniProt
- P37231
-
Pathways
- Signalisation MAPK, Nuclear Receptor Transcription Pathway, Steroid Hormone Mediated Signaling Pathway, Negative Regulation of Hormone Secretion, Carbohydrate Homeostasis, Regulation of Lipid Metabolism by PPARalpha, Positive Regulation of Endopeptidase Activity, Brown Fat Cell Differentiation, Positive Regulation of fat Cell Differentiation
Antigène Voir toutes PPARG Kits ELISA
-