Tel:
+49 (0)241 95 163 153
Fax:
+49 (0)241 95 163 155
E-Mail:
orders@anticorps-enligne.fr

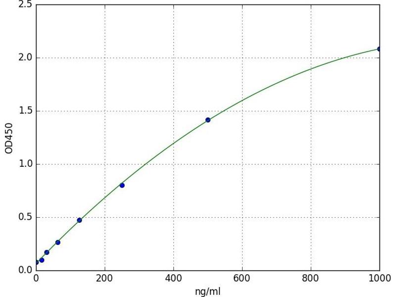
S100A8/A9 Complex (Calprotectin) Kit ELISA

Kit ELISA S100A8/A9 Complex (Calprotectin) Humain, Colorimetric test pour la quantification de Humain S100A8/A9 Complex (Calprotectin).
N° du produit ABIN5525004
481,54 €
Plus frais de livraison 40,00 € et TVA
96 tests
Destination: France
Envoi sous 11 à 15 jours ouvrables

Aperçu rapide pour S100A8/A9 Complex (Calprotectin) Kit ELISA (ABIN5525004)

Antigène

Voir toutes S100A8/A9 Complex (Calprotectin) (S100A8/A9) Kits ELISA
S100A8/A9 Complex (Calprotectin) (S100A8/A9) (Calprotectin (S100A8/A9))

Reactivité

  • 11
  • 4
  • 3
  • 3
  • 2
  • 2
  • 2
  • 1
  • 1
  • 1
  • 1
  • 1
Humain

Méthode de détection

Colorimetric

Type de méthode

Sandwich ELISA

Gamme de detection

31.25 pg/mL - 2000 pg/mL

Application

ELISA

Type d'échantillon

Plasma, Serum, Tissue Homogenate
  • Seuil minimal de détection

    31.25 pg/mL

    Fonction

    For quantitative detection in serum, plasma, tissue homogenates and other biological fluids.

    Analytical Method

    Quantitative

    Sensibilité

    18.75 pg/mL

    Ingrédients

    - ELISA Microplate
    - Lyophilized Standard
    - Sample / Standard Dilution Buffer
    - Biotin-labeled Antibody (Concentrated)
    - Antibody Dilution Buffer
    - HRP-Streptavidin Conjugate(SABC)
    - SABC Dilution Buffer
    - TMB Substrate
    - Stop Solution
    - Wash Buffer (25X)
    - Plate Sealer
    - Product Description
  • Indications d'application

    Optimal working dilution should be determined by the investigator.

    Commentaires

    Sandwich ELISA, Double Antibody

    Volume d'échantillon

    100 μL

    Plaque

    Pre-coated

    Restrictions

    For Research Use only
  • Stock

    4 °C

    Stockage commentaire

    4 °C for 6 months

    Date de péremption

    6 months
  • Antigène Voir toutes S100A8/A9 Complex (Calprotectin) (S100A8/A9) Kits ELISA

    S100A8/A9 Complex (Calprotectin) (S100A8/A9) (Calprotectin (S100A8/A9))

    Autre désignation

    calprotectin

    Pathways

    S100 Proteins
Vous êtes ici:
Chat with us!