Tel:
+49 (0)241 95 163 153
Fax:
+49 (0)241 95 163 155
E-Mail:
orders@anticorps-enligne.fr

OVA sIgE Kit ELISA

Kit ELISA OVA sIgE Souris, Colorimetric test pour la quantification de Souris OVA sIgE.
N° du produit ABIN5696483
481,54 €
Plus frais de livraison 40,00 € et TVA
96 tests
Destination: France
Envoi sous 11 à 15 jours ouvrables

Aperçu rapide pour OVA sIgE Kit ELISA (ABIN5696483)

Antigène

Tous les produits OVA sIgE
OVA sIgE (Ovalbumin Specific IgE (OVA sIgE))

Reactivité

  • 3
  • 3
  • 2
  • 2
  • 2
  • 2
  • 2
  • 1
  • 1
  • 1
  • 1
  • 1
Souris

Méthode de détection

Colorimetric

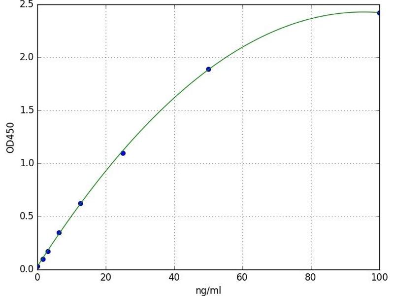
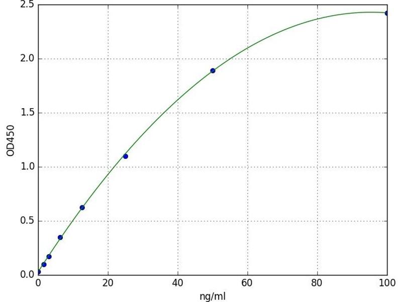
Gamme de detection

1.56 ng/mL - 100 ng/mL

Application

ELISA
  • Seuil minimal de détection

    1.56 ng/mL

    Analytical Method

    Quantitative

    Sensibilité

    0938 ng/mL
  • Indications d'application

    Optimal working dilution should be determined by the investigator.

    Commentaires

    Indirect ELISA

    Plaque

    Pre-coated

    Restrictions

    For Research Use only
  • Stock

    4 °C

    Date de péremption

    6 months
  • Antigène Tous les produits OVA sIgE

    OVA sIgE (Ovalbumin Specific IgE (OVA sIgE))

    Autre désignation

    OVA sIgE (Ovalbumin Specific IgE)

    Classe de substances

    Antibody

    Sujet

    OVA sIgE
Vous êtes ici:
Chat with us!