Chemerin Kit ELISA
Aperçu rapide pour Chemerin Kit ELISA (ABIN5696665)
Antigène
Voir toutes Chemerin (RARRES2) Kits ELISAReactivité
Méthode de détection
Type de méthode
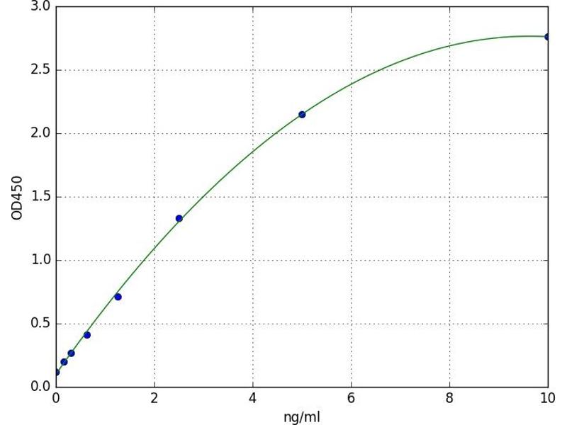
Gamme de detection
Application
-
-
Seuil minimal de détection
- 0.15 ng/mL
-
Analytical Method
- Quantitative
-
Sensibilité
- 0.1 ng/mL
-
-
-
-
Indications d'application
- Optimal working dilution should be determined by the investigator.
-
Commentaires
-
Sandwich ELISA, Double Antibody
-
Plaque
- Pre-coated
-
Restrictions
- For Research Use only
-
-
-
Stock
- 4 °C
-
Date de péremption
- 6 months
-
-
- Chemerin (RARRES2) (Retinoic Acid Receptor Responder (Tazarotene Induced) 2 (RARRES2))
-
Autre désignation
- CHEM (Chemerin)
-
Sujet
- RARRES2/TIG-2/chemerin/CHEM/RARRES2/RAR-responsive protein TIG2/retinoic acid receptor responder(tazarotene induced) 2/retinoic acid receptor responder protein 2/Tazarotene-induced gene 2 protein
-
Pathways
- Brown Fat Cell Differentiation
Antigène Voir toutes Chemerin (RARRES2) Kits ELISA
-