Tel:
+49 (0)241 95 163 153
Fax:
+49 (0)241 95 163 155
E-Mail:
orders@anticorps-enligne.fr

NLRP3 Kits ELISA

(NLR Family, Pyrin Domain Containing 3 (NLRP3))

Choisissez l’un des 8 kits ELISA NLRP3 de notre catalogue basés sur 5 images de validation.

Découvrez des anticorps NLRP3 fiables issus d’une vaste sélection de fabricants renommés. Notre portefeuille permet une détection précise de NLRP3 dans plusieurs espèces, y compris Human, Cow, Mouse, Rat, et prend en charge diverses applications de recherche telles que .

Trouvez rapidement l’anticorps le plus adapté grâce à nos outils de recherche, de filtrage et de comparaison. Chaque page produit fournit des données de validation détaillées, des références bibliographiques et des retours d’utilisateurs. Contrairement aux plateformes exclusivement comparatives, notre site vous permet d’acheter directement les anticorps sélectionnés, garantissant un processus d’approvisionnement fluide et efficace. Choisissez parmi des anticorps polyclonaux, monoclonaux ou recombinants NLRP3, issus de différents hôtes tels que . Parcourez nos produits ci-dessous et commandez directement pour soutenir vos recherches en toute confiance.

Les noms alternatifs de NLRP3 sont NLRPL, NLRP3, nlrp3.L, Nlrp3.

8 Résultats

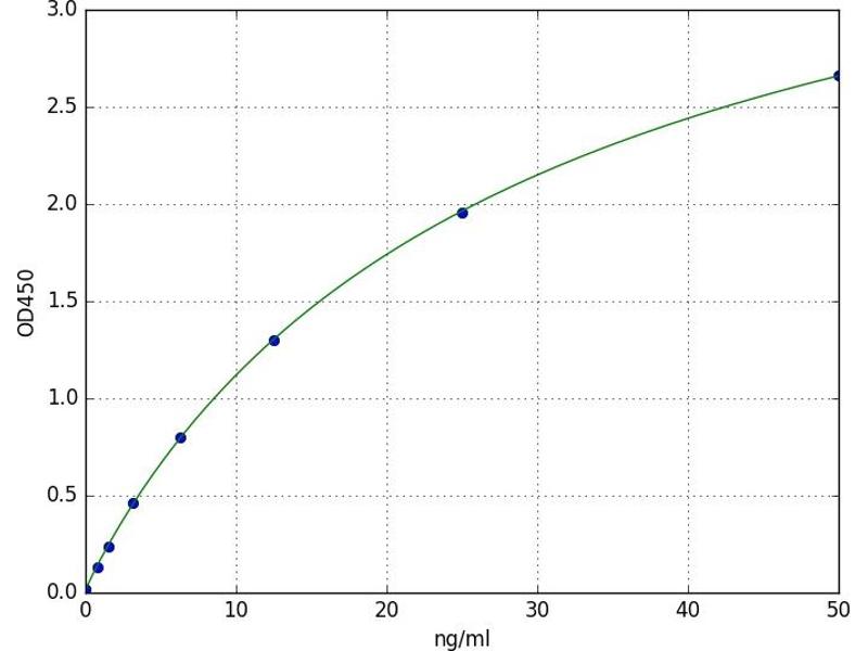
NLRP3 Reactivité: Humain Colorimetric Sandwich ELISA 0.781 ng/mL - 50 ng/mL Plasma, Serum, Tissue Homogenate
N° du produit ABIN6971278
508,85 €
Plus frais de livraison 40,00 € et TVA
96 tests
Destination: France
Envoi sous 11 à 15 jours ouvrables
 
NLRP3 Reactivité: Souris Colorimetric Sandwich ELISA 0.313 ng/mL - 20 ng/mL Plasma, Serum, Tissue Homogenate
N° du produit ABIN6971279
638,85 €
Plus frais de livraison 40,00 € et TVA
96 tests
Destination: France
Envoi sous 11 à 15 jours ouvrables
 
NLRP3 Reactivité: Humain Colorimetric Sandwich ELISA 0.31 ng/mL - 20 ng/mL Cell Culture Supernatant, Cell Lysate, Plasma, Serum, Tissue Homogenate
N° du produit ABIN6958210
855,56 €
Plus frais de livraison 40,00 € et TVA
96 tests (Autres quantités disponibles)
Destination: France
Envoi sous 10 à 13 jours ouvrables
 
NLRP3 Reactivité: Rat Colorimetric Sandwich ELISA 0.31 ng/mL - 20 ng/mL Cell Culture Supernatant, Cell Lysate, Tissue Homogenate
N° du produit ABIN6958211
928,89 €
Plus frais de livraison 40,00 € et TVA
96 tests (Autres quantités disponibles)
Destination: France
Envoi sous 10 à 13 jours ouvrables
 
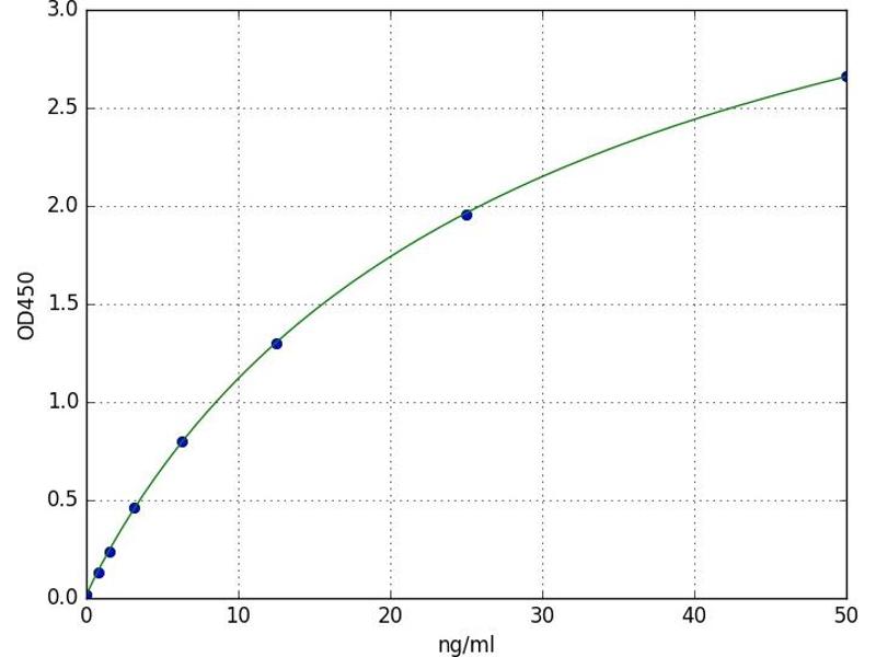
NLRP3 Reactivité: Humain Colorimetric Sandwich ELISA 0.781 ng/mL - 50 ng/mL Plasma, Serum, Tissue Homogenate
N° du produit ABIN5520215
481,54 €
Plus frais de livraison 40,00 € et TVA
96 tests
Destination: France
Envoi sous 11 à 15 jours ouvrables
 
NLRP3 Reactivité: Humain Colorimetric Sandwich ELISA 0.31-20.0 ng/mL Plasma, Serum, Tissue Homogenate
N° du produit ABIN5591835
754,60 €
Plus frais de livraison 40,00 € et TVA
96 tests
Destination: France
Envoi sous 10 à 14 jours ouvrables
 
QuickTest NLRP3 Reactivité: Humain Colorimetric Sandwich ELISA Plasma, Serum
N° du produit ABIN7832872
770,00 €
Plus frais de livraison 40,00 € et TVA
1 kit
Destination: France
Envoi sous 5 à 6 jours ouvrables
 
NLRP3 Reactivité: Boeuf (Vache) Colorimetric
N° du produit ABIN1144065
993,14 €
Plus frais de livraison 40,00 € et TVA
96 tests
Destination: France
Envoi sous 13 à 17 jours ouvrables
 
  • Type Kit
    • Kit
  • Application ELISA
    • ELISA
  • Réactivité
    • Human
    • Cow
    • Mouse
    • Rat
  • Images disponible
  • Type de méthode
    • Sandwich ELISA
  • Analytical Method
    • Quantitative
  • Méthode de détection
    • Colorimetric
  • Plate
    • Pre-coated
  • Conjugué
    • Inconjugué
  • Sample
    • Plasma
    • Serum
    • Tissue Homogenate
    • Cell Culture Supernatant
    • Cell Lysate
  • Grade
    • QuickTest
  • Supplier
    • antibodies-online
    • Abnova
    • EIAab
    • Signalway
    • Wuhan Fine biotech

Dernières publications pour nos NLRP3 Kits ELISA

Głombik, Trojan, Kurek, Budziszewska, Basta-Kaim: "Inflammatory Consequences of Maternal Diabetes on the Offspring Brain: a Hippocampal Organotypic Culture Study." dans: Neurotoxicity research, Vol. 36, Issue 2, pp. 357-375, (2020) (PubMed).

Beconcini, Felice, Zambito, Fabiano, Piras, Macedo, Sarmento, Di Stefano: "Anti-Inflammatory Effect of Cherry Extract Loaded in Polymeric Nanoparticles: Relevance of Particle Internalization in Endothelial Cells." dans: Pharmaceutics, Vol. 11, Issue 10, (2019) (PubMed).

Loukovaara, Piippo, Kinnunen, Hytti, Kaarniranta, Kauppinen: "NLRP3 inflammasome activation is associated with proliferative diabetic retinopathy." dans: Acta ophthalmologica, Vol. 95, Issue 8, pp. 803-808, (2018) (PubMed).

Kinnunen, Piippo, Loukovaara, Hytti, Kaarniranta, Kauppinen: "Lysosomal destabilization activates the NLRP3 inflammasome in human umbilical vein endothelial cells (HUVECs)." dans: Journal of cell communication and signaling, Vol. 11, Issue 3, pp. 275-279, (2017) (PubMed).

Piippo, Korkmaz, Hytti, Kinnunen, Salminen, Atalay, Kaarniranta, Kauppinen: "Decline in cellular clearance systems induces inflammasome signaling in human ARPE-19 cells." dans: Biochimica et biophysica acta, Vol. 1843, Issue 12, pp. 3038-46, (2014) (PubMed).

Kleiner, Celsi, Tricarico, Zacchigna, Crovella, Marcuzzi: "Systemic and neuronal inflammatory markers in a mouse model of mevalonate kinase deficiency: a strain-comparative study." dans: In vivo (Athens, Greece), Vol. 27, Issue 6, pp. 715-22, (2013) (PubMed).

Pseudonymes pour NLRP3 Kits ELISA

NLR family pyrin domain containing-like (NLRPL) Kits ELISA
NLR family pyrin domain containing 3 (NLRP3) Kits ELISA
NLR family, pyrin domain containing 3 L homeolog (nlrp3.L) Kits ELISA
NLR family, pyrin domain containing 3 (Nlrp3) Kits ELISA
agtavprl Kits ELISA
AGTAVPRL Kits ELISA
AII Kits ELISA
AII/AVP Kits ELISA
avp Kits ELISA
AVP Kits ELISA
C1orf7 Kits ELISA
CIAS1 Kits ELISA
cias1 Kits ELISA
Cias1 Kits ELISA
CLR1.1 Kits ELISA
FCAS Kits ELISA
FCU Kits ELISA
Mmig1 Kits ELISA
MWS Kits ELISA
Nalp3 Kits ELISA
nalp3 Kits ELISA
NALP3 Kits ELISA
pypaf1 Kits ELISA
PYPAF1 Kits ELISA
Pypaf1 Kits ELISA
Vous êtes ici:
Chat with us!