Tel:
+49 (0)241 95 163 153
Fax:
+49 (0)241 95 163 155
E-Mail:
orders@anticorps-enligne.fr

IgG2a Fc (AA 98-330) (Active) Protéine

Cette protéine Recombinant IgG2a Fc est exprimée dans HEK-293 Cells.
N° du produit ABIN7274869
141,52 €
Plus frais de livraison 40,00 € et TVA
Destination: France
Envoi sous 15 à 19 jours ouvrables

Aperçu rapide pour IgG2a Fc (AA 98-330) (Active) Protéine (ABIN7274869)

Antigène

IgG2a Fc

Type de proteíne

Recombinant

Activité biologique

Active

Origine

Souris

Source

  • 2
HEK-293 Cells

Pureté

> 95 % as determined by Bis-Tris PAGE,> 95 % as determined by HPLC
  • Attributs du protein

    AA 98-330

    Fonction

    Mouse IgG2a Fc Protein

    Séquence

    Glu98-Lys330

    Attributs du produit

    Recombinant Mouse IgG2a Fc Protein is expressed from HEK293 without tag.It contains Glu98-Lys330.

    Stérilité

    0.22 μm filtered

    niveau d'endotoxine

    Less than 1 EU per μg by the LAL method.

    Biological Activity Comment

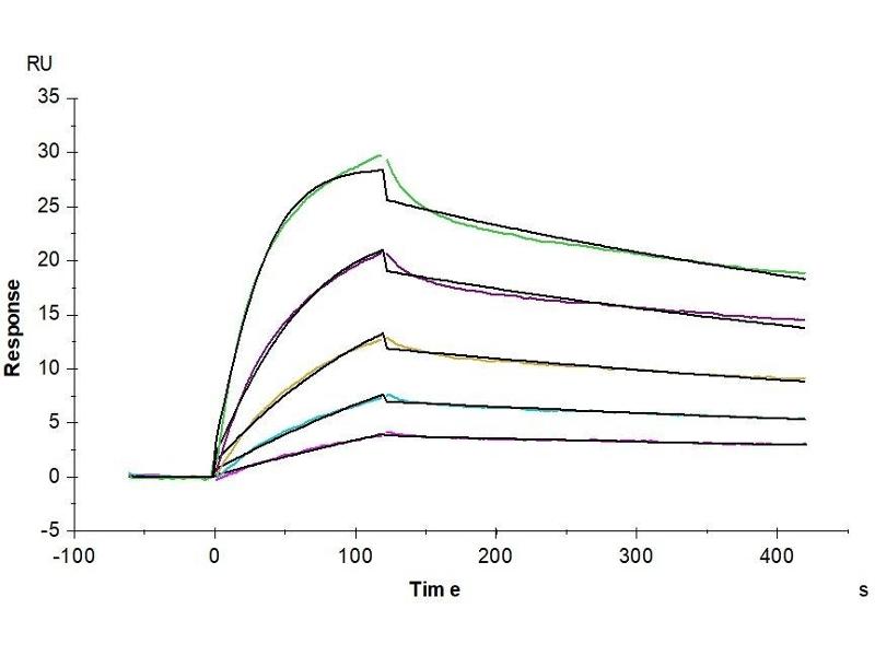
    Mouse FcRn, His Tag captured on CM5 Chip via Anti-His Antibody can bind Mouse IgG2a Fc, No Tag with an affinity constant of 2.72 nM as determined in SPR assay (Biacore T200).,Mouse IgG2a Fc on Bis-Tris PAGE under reduced condition. The purity is greater than 95%.,The purity of Mouse IgG2a Fc is greater than 95% as determined by SEC-HPLC.
  • Vous souhaitez d'autres options pour ce Protein ?

    !
    Découvrez nos protéines personnalisées prédéfinies et nos services de protéines sur mesure !

    Votre projet nécessite-t-il une personnalisation supplémentaire ? Contactez-nous et découvrez nos solutions protéiques sur mesure

  • Restrictions

    For Research Use only
  • Format

    Lyophilized

    Reconstitution

    Dissolve the lyophilized protein in distilled water. It is recommended to resuspend at 0.5 mg/mL if the lyophilized powder is 100 μg or less, at 1 mg/mL for 500 μg or 1 mg lyophilized powder. Do not mix by vortex or vigorous shaking.

    Buffer

    Lyophilized from 0.22μm filtered solution in PBS ( pH 7.4). Normally 8 % trehalose is added as protectant before lyophilization.

    Stock

    -20 °C,-80 °C

    Stockage commentaire

    -20 to -80°C for 12 months as supplied from date of receipt.,-80°C for 3 months after reconstitution.,Recommend to aliquot the protein into smaller quantities for optimal storage. Please minimize freeze-thaw cycles.

    Date de péremption

    12 months
  • Antigène

    IgG2a Fc

    Sujet

    Mouse IgG2a is one of the subtypes of murine immunoglobulin IgG which mediates immune responses to carbohydrate or polysaccharide antigens. The Fc region of IgG2a can bind to FcRn to prolong its half-life.

    Poids moléculaire

    26.38 kDa. Due to glycosylation, the protein migrates to 33-38 kDa based on Bis-Tris PAGE result.

    UniProt

    P01863
Vous êtes ici:
Chat with us!