Tel:
+49 (0)241 95 163 153
Fax:
+49 (0)241 95 163 155
E-Mail:
orders@anticorps-enligne.fr

HbA1c Kits ELISA

(Glycated Hemoglobin HbA1c (HbA1c))

Choisissez l’un des 33 kits ELISA HbA1c de notre catalogue basés sur 13 publications et 11 images de validation.

Découvrez des anticorps HbA1c fiables issus d’une vaste sélection de fabricants renommés. Notre portefeuille permet une détection précise de HbA1c dans plusieurs espèces, y compris Mouse, Rat, Human, Chicken, Cow, Dog, Goat, Guinea Pig, Monkey, Pig, Rabbit, Sheep, et prend en charge diverses applications de recherche telles que .

Trouvez rapidement l’anticorps le plus adapté grâce à nos outils de recherche, de filtrage et de comparaison. Chaque page produit fournit des données de validation détaillées, des références bibliographiques et des retours d’utilisateurs. Contrairement aux plateformes exclusivement comparatives, notre site vous permet d’acheter directement les anticorps sélectionnés, garantissant un processus d’approvisionnement fluide et efficace. Choisissez parmi des anticorps polyclonaux, monoclonaux ou recombinants HbA1c, issus de différents hôtes tels que . Parcourez nos produits ci-dessous et commandez directement pour soutenir vos recherches en toute confiance.

Les noms alternatifs de HbA1c sont HGB.

33 Résultats

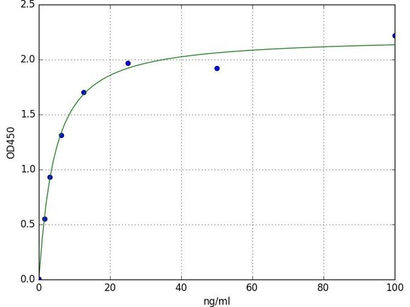
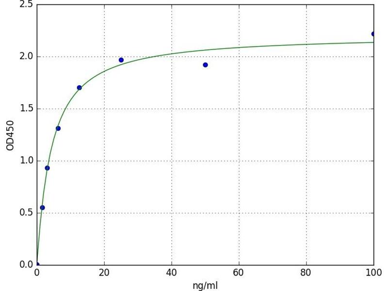
HbA1c Reactivité: Rat Colorimetric Sandwich ELISA 1.563 ng/mL - 100 ng/mL Plasma, Serum, Tissue Homogenate
Pubmed 1 reference
N° du produit ABIN6967137
-15% Promotion 2026
432,52 €
508,85 €
Économisez 76,33 € (-15 %)
Plus frais de livraison 40,00 € et TVA
96 tests
Destination: France
Envoi sous 11 à 15 jours ouvrables
 
HbA1c Reactivité: Humain Colorimetric Competition ELISA 12.35 μg/mL - 1000 μg/mL Erythrocyte Lysates, Plasma, Serum
Pubmed 2 références
N° du produit ABIN6956233
-15% Promotion 2026
654,50 €
770,00 €
Économisez 115,50 € (-15 %)
Plus frais de livraison 40,00 € et TVA
96 tests (Autres quantités disponibles)
Destination: France
Envoi sous 10 à 13 jours ouvrables
 
HbA1c Reactivité: Rat Colorimetric Competition ELISA 12.35 μg/mL - 1000 μg/mL Erythrocyte Lysates, Plasma
Pubmed 1 reference
N° du produit ABIN6956235
-15% Promotion 2026
710,60 €
836,00 €
Économisez 125,40 € (-15 %)
Plus frais de livraison 40,00 € et TVA
96 tests (Autres quantités disponibles)
Destination: France
Envoi sous 10 à 13 jours ouvrables
 
HbA1c Reactivité: Souris Colorimetric Competition ELISA 0.78 μg/mL - 50 μg/mL Red Blood Cell Lysate
Pubmed 1 reference
N° du produit ABIN6974165
-15% Promotion 2026
718,20 €
844,94 €
Économisez 126,74 € (-15 %)
Plus frais de livraison 40,00 € et TVA
96 tests (Autres quantités disponibles)
Destination: France
Envoi sous 11 à 15 jours ouvrables
 
HbA1c Reactivité: Humain Colorimetric Competition ELISA 78.125 pg/mL - 5000 pg/mL Plasma, Serum, Tissue Homogenate
N° du produit ABIN6967135
-15% Promotion 2026
543,02 €
638,85 €
Économisez 95,83 € (-15 %)
Plus frais de livraison 40,00 € et TVA
96 tests
Destination: France
Envoi sous 11 à 15 jours ouvrables
 
HbA1c Reactivité: Souris Colorimetric Sandwich ELISA 1.25 ng/mL - 80 ng/mL Plasma, Serum, Tissue Homogenate
N° du produit ABIN6967136
-15% Promotion 2026
543,02 €
638,85 €
Économisez 95,83 € (-15 %)
Plus frais de livraison 40,00 € et TVA
96 tests
Destination: France
Envoi sous 11 à 15 jours ouvrables
 
HbA1c Reactivité: Souris Colorimetric Competition ELISA 12.35 μg/mL - 1000 μg/mL Erythrocyte Lysates, Plasma
N° du produit ABIN6956234
-15% Promotion 2026
673,20 €
792,00 €
Économisez 118,80 € (-15 %)
Plus frais de livraison 40,00 € et TVA
96 tests (Autres quantités disponibles)
Destination: France
Envoi sous 10 à 13 jours ouvrables
 
HbA1c Reactivité: Rat Colorimetric Sandwich ELISA 1.56 ng/mL - 100 ng/mL Plasma, Serum, Tissue Homogenate
Pubmed 1 reference
N° du produit ABIN5523355
481,54 €
Plus frais de livraison 40,00 € et TVA
96 tests
Destination: France
Envoi sous 11 à 15 jours ouvrables
 
HbA1c Reactivité: Souris Colorimetric Competition ELISA 0.78-50 μg/mL Red Blood Cells
Pubmed 1 reference
N° du produit ABIN457131
844,94 €
Plus frais de livraison 40,00 € et TVA
96 tests (Autres quantités disponibles)
Destination: France
Envoi sous 11 à 15 jours ouvrables
 
HbA1c Reactivité: Humain Colorimetric Competition ELISA 0.012-50 ng/mL Red Blood Cells
Pubmed 2 références
N° du produit ABIN457007
918,45 €
Plus frais de livraison 40,00 € et TVA
96 tests (Autres quantités disponibles)
Destination: France
Envoi sous 11 à 15 jours ouvrables
 
HbA1c Reactivité: Rat Colorimetric Competition ELISA 0.019-80 ng/mL Red Blood Cell Lysate
Pubmed 4 références
N° du produit ABIN457237
993,10 €
Plus frais de livraison 40,00 € et TVA
96 tests (Autres quantités disponibles)
Destination: France
Envoi sous 11 à 15 jours ouvrables
 
Wide Range HbA1c Reactivité: Souris Colorimetric Competition ELISA 12.35 μg/mL - 1000 μg/mL Cell Lysate, Plasma
N° du produit ABIN6999522
-15% Promotion 2026
654,50 €
770,00 €
Économisez 115,50 € (-15 %)
Plus frais de livraison 40,00 € et TVA
96 tests (Autres quantités disponibles)
Destination: France
Envoi sous 10 à 13 jours ouvrables
 
QuickTest HbA1c Reactivité: Souris Colorimetric Sandwich ELISA 1.25 ng/mL - 80 ng/mL Red Blood Cell Lysate
N° du produit ABIN7671477
641,23 €
Plus frais de livraison 40,00 € et TVA
96 tests
Destination: France
Envoi sous 11 à 15 jours ouvrables
 
QuickTest HbA1c Reactivité: Rat Colorimetric Sandwich ELISA 1.563 ng/mL - 100 ng/mL Red Blood Cell Lysate
N° du produit ABIN7671478
641,23 €
Plus frais de livraison 40,00 € et TVA
96 tests
Destination: France
Envoi sous 11 à 15 jours ouvrables
 
HbA1c Reactivité: Humain Colorimetric Competition ELISA 25-500 ng/mL Cell Culture Supernatant, Plasma, Serum, Tissue Homogenate
N° du produit ABIN770806
657,14 €
Plus frais de livraison 40,00 € et TVA
96 tests
Destination: France
Envoi sous 13 à 17 jours ouvrables
 
HbA1c Reactivité: Rat Colorimetric Competition ELISA 25-500 ng/mL Cell Culture Supernatant, Plasma, Serum, Tissue Homogenate
N° du produit ABIN771887
657,14 €
Plus frais de livraison 40,00 € et TVA
96 tests
Destination: France
Envoi sous 13 à 17 jours ouvrables
 
HbA1c Reactivité: Mouton Colorimetric Competition ELISA Cell Culture Supernatant, Plasma, Serum, Tissue Homogenate
N° du produit ABIN1054155
657,14 €
Plus frais de livraison 40,00 € et TVA
96 tests
Destination: France
Envoi sous 13 à 17 jours ouvrables
 
HbA1c Reactivité: Chévre Colorimetric Competition ELISA Cell Culture Supernatant, Plasma, Serum, Tissue Homogenate
N° du produit ABIN992195
657,14 €
Plus frais de livraison 40,00 € et TVA
96 tests
Destination: France
Envoi sous 13 à 17 jours ouvrables
 
HbA1c Reactivité: Porc Colorimetric Competition ELISA Cell Culture Supernatant, Plasma, Serum, Tissue Homogenate
N° du produit ABIN778971
657,14 €
Plus frais de livraison 40,00 € et TVA
96 tests
Destination: France
Envoi sous 13 à 17 jours ouvrables
 
HbA1c Reactivité: Cobaye Colorimetric Competition ELISA 25-500 μg/mL Cell Culture Supernatant, Plasma, Serum, Tissue Homogenate
N° du produit ABIN776987
657,14 €
Plus frais de livraison 40,00 € et TVA
96 tests
Destination: France
Envoi sous 13 à 17 jours ouvrables
 
  • Type Kit
    • Kit
  • Application ELISA
    • ELISA
  • Réactivité
    • Mouse
    • Rat
    • Human
    • Chicken
    • Cow
    • Dog
    • Goat
    • Guinea Pig
    • Monkey
    • Pig
    • Rabbit
    • Sheep
  • Cité dans publications
  • Images disponible
  • Type de méthode
    • Competition ELISA
    • Sandwich ELISA
  • Analytical Method
    • Quantitative
  • Méthode de détection
    • Colorimetric
  • Plate
    • Pre-coated
    • Strips (12 x 8)
    • Uncoated
  • Conjugué
    • Inconjugué
  • Sample
    • Plasma
    • Serum
    • Tissue Homogenate
    • Cell Culture Supernatant
    • Cell Lysate
    • Red Blood Cell Lysate
    • Erythrocyte Lysates
    • Red Blood Cells
  • Grade
    • QuickTest
    • Wide Range
  • Supplier
    • Blue Gene
    • antibodies-online
    • Biomatik
    • CUSABIO
    • Signalway
    • Wuhan Fine biotech
    • Elabscience

Dernières publications pour nos HbA1c Kits ELISA

Qiao, Bao, Wang, Sun, Liao, Liu, Zhou, Ma, Zhang, Chen, Liu, Liu: "Activation of a Specific Gut Bacteroides-Folate-Liver Axis Benefits for the Alleviation of Nonalcoholic Hepatic Steatosis." dans: Cell reports, Vol. 32, Issue 6, pp. 108005, (2020) (PubMed).

Lin, Cheng, Lo, Lin, Lin, Yeh, Ho, Lin, Liu: "1H Nuclear Magnetic Resonance (NMR)-Based Cerebrospinal Fluid and Plasma Metabolomic Analysis in Type 2 Diabetic Patients and Risk Prediction for Diabetic Microangiopathy." dans: Journal of clinical medicine, Vol. 8, Issue 6, (2019) (PubMed).

Chen, Su, Chen, He, Liu, Xu, Wei, Li, He: "d-Ribose as a Contributor to Glycated Haemoglobin." dans: EBioMedicine, Vol. 25, pp. 143-153, (2018) (PubMed).

El-Shemi, Kensara, Alsaegh, Mukhtar et al.: "Pharmacotherapy with Thymoquinone Improved Pancreatic β-Cell Integrity and Functional Activity, Enhanced Islets Revascularization, and Alleviated Metabolic and Hepato-Renal Disturbances in ..." dans: Pharmacology, Vol. 101, Issue 1-2, pp. 9-21, (2018) (PubMed).

Balaha, Kandeel, Kabel: "Phloretin either alone or in combination with duloxetine alleviates the STZ-induced diabetic neuropathy in rats." dans: Biomedicine & pharmacotherapy, Vol. 101, pp. 821-832, (2018) (PubMed).

Ning, Wang, Gao, Mu, Wang, Liu, Zhu, Meng: "Chicory inulin ameliorates type 2 diabetes mellitus and suppresses JNK and MAPK pathways in vivo and in vitro." dans: Molecular nutrition & food research, (2017) (PubMed).

Mohamad, El-Sherbeny, Bekhet: "The Effect of Vitamin D Supplementation on Glycemic Control and Lipid Profile in Patients with Type 2 Diabetes Mellitus." dans: Journal of the American College of Nutrition, Vol. 35, Issue 5, pp. 399-404, (2016) (PubMed).

Kahr, Suter, Ballas, Ramin, Monga, Lee, Hu, Shope, Chesnokova, Krannich, Griffin, Mastrobattista, Dildy, Strehlow, Ramphul, Hamilton, Aagaard: "Geospatial analysis of food environment demonstrates associations with gestational diabetes." dans: American journal of obstetrics and gynecology, Vol. 214, Issue 1, pp. 110.e1-9, (2016) (PubMed).

Guo, Mi, Jiang, Xu, Tang, Tian, Wang: "Metformin may produce antidepressant effects through improvement of cognitive function among depressed patients with diabetes mellitus." dans: Clinical and experimental pharmacology & physiology, Vol. 41, Issue 9, pp. 650-6, (2015) (PubMed).

Manaer, Yu, Zhang, Xiao, Nabi: "Anti-diabetic effects of shubat in type 2 diabetic rats induced by combination of high-glucose-fat diet and low-dose streptozotocin." dans: Journal of ethnopharmacology, Vol. 169, pp. 269-74, (2015) (PubMed).

Pseudonymes pour HbA1c Kits ELISA

Hemoglobin (HGB) Kits ELISA
HGB Kits ELISA
Vous êtes ici:
Chat with us!