Tel:
+49 (0)241 95 163 153
Fax:
+49 (0)241 95 163 155
E-Mail:
orders@anticorps-enligne.fr

SIRT1 Kit ELISA

Kit ELISA SIRT1 Humain, Colorimetric test pour la quantification de Humain SIRT1.
N° du produit ABIN5522220
481,54 €
Plus frais de livraison 40,00 € et TVA
96 tests
Destination: France
Envoi sous 11 à 15 jours ouvrables

Aperçu rapide pour SIRT1 Kit ELISA (ABIN5522220)

Antigène

Voir toutes SIRT1 Kits ELISA
SIRT1 (Sirtuin 1 (SIRT1))

Reactivité

  • 7
  • 4
  • 3
Humain

Méthode de détection

Colorimetric

Type de méthode

Sandwich ELISA

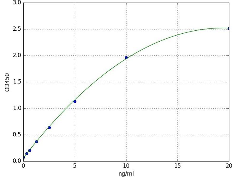
Gamme de detection

0.313 ng/mL - 20 ng/mL

Application

ELISA

Type d'échantillon

Plasma, Serum, Tissue Homogenate
  • Seuil minimal de détection

    0.313 ng/mL

    Fonction

    For quantitative detection of SIRT1 in serum, plasma, tissue homogenates.

    Analytical Method

    Quantitative

    Specificité

    This assay has high sensitivity and excellent specificity for detection of SIRT1. No significant cross-reactivity or interference between SIRT1 and analogues was observed. Note: Limited by current skills and knowledge, it is difficult for us to complete the cross-reactivity detection between SIRT1 and all the analogues, therefore, cross reaction may still exist.

    Sensibilité

    0.188 ng/mL

    Ingrédients

    - ELISA Microplate
    - Lyophilized Standard
    - Sample / Standard Dilution Buffer
    - Biotin-labeled Antibody (Concentrated)
    - Antibody Dilution Buffer
    - HRP-Streptavidin Conjugate(SABC)
    - SABC Dilution Buffer
    - TMB Substrate
    - Stop Solution
    - Wash Buffer (25X)
    - Plate Sealer
    - Product Description
  • Indications d'application

    Optimal working dilution should be determined by the investigator.

    Commentaires

    Sandwich ELISA, Double Antibody

    Volume d'échantillon

    100 μL

    Plaque

    Pre-coated

    Restrictions

    For Research Use only
  • Stock

    4 °C

    Stockage commentaire

    1. For unopened kit: All the reagents should be kept according to the labels on vials. The Reference Standard and the 96-well stripe plate should be stored at -20 °C upon receipt while the other reagents should be stored at 4 °C.
    2. For used kit: When the kit is used, the remaining reagents need to be stored according to the above storage condition. Besides, please return the unused wells to the foil pouch containing the desiccant pack, and zip-seal the foil pouch.

    Date de péremption

    6 months
  • Antigène Voir toutes SIRT1 Kits ELISA

    SIRT1 (Sirtuin 1 (SIRT1))

    Autre désignation

    SIRT1

    Sujet

    SIRT1/SIR2alpha/SIR2L1/SIR2-like protein 1/EC 3.5.1/S. cerevisiae, homolog) 1/sirtuin 1

    UniProt

    Q96EB6

    Pathways

    Signalisation MAPK, Intracellular Steroid Hormone Receptor Signaling Pathway, Regulation of Intracellular Steroid Hormone Receptor Signaling, Carbohydrate Homeostasis, Positive Regulation of Endopeptidase Activity, Regulation of Carbohydrate Metabolic Process, Positive Regulation of Response to DNA Damage Stimulus, Negative Regulation of intrinsic apoptotic Signaling
Vous êtes ici:
Chat with us!