Tel:
+49 (0)241 95 163 153
Fax:
+49 (0)241 95 163 155
E-Mail:
orders@anticorps-enligne.fr

NFkB Kit ELISA

Ce kit ELISA Colorimetric est destiné à la mesure quantitative de Rat NFkB. Il a été cité dans 1 publication.
N° du produit ABIN5523538
481,54 €
Plus frais de livraison 40,00 € et TVA
96 tests
Destination: France
Envoi sous 11 à 15 jours ouvrables

Aperçu rapide pour NFkB Kit ELISA (ABIN5523538)

Antigène

Voir toutes NFkB Kits ELISA
NFkB (Nuclear Factor kappa B (NFkB))

Reactivité

  • 8
  • 6
  • 4
  • 3
  • 3
  • 3
  • 2
  • 2
  • 2
  • 2
  • 2
  • 2
Rat

Méthode de détection

Colorimetric

Type de méthode

Sandwich ELISA

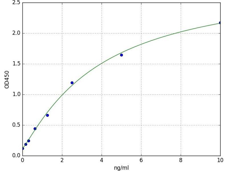
Gamme de detection

0.15 ng/mL - 10 ng/mL

Application

ELISA

Type d'échantillon

Plasma, Serum, Tissue Homogenate
  • Seuil minimal de détection

    0.15 ng/mL

    Fonction

    For quantitative detection in serum, plasma, tissue homogenates and other biological fluids.

    Analytical Method

    Quantitative

    Specificité

    NF-κB

    Sensibilité

    0.094 ng/mL

    Ingrédients

    - ELISA Microplate
    - Lyophilized Standard
    - Sample / Standard Dilution Buffer
    - Biotin-labeled Antibody (Concentrated)
    - Antibody Dilution Buffer
    - HRP-Streptavidin Conjugate(SABC)
    - SABC Dilution Buffer
    - TMB Substrate
    - Stop Solution
    - Wash Buffer (25X)
    - Plate Sealer
    - Product Description
  • Indications d'application

    Optimal working dilution should be determined by the investigator.

    Commentaires

    Sandwich ELISA, Double Antibody

    Volume d'échantillon

    100 μL

    Plaque

    Pre-coated

    Restrictions

    For Research Use only
  • Stock

    4 °C

    Stockage commentaire

    4 °C for 6 months

    Date de péremption

    6 months
  • Jana, Maity, Perveen, Dash, Jana, Dey, De, Chattopadhyay et al.: "Attenuation of utero-toxicity, metabolic dysfunction and inflammation by soy protein concentrate in rats exposed to fluoridated water: consequence of hyperlipidemia in parallel with ..." dans: Environmental science and pollution research international, Vol. 25, Issue 36, pp. 36462-36473, (2019) (PubMed).

  • Antigène Voir toutes NFkB Kits ELISA

    NFkB (Nuclear Factor kappa B (NFkB))

    Autre désignation

    NF-kappaB

    Sujet

    NF-κB

    Pathways

    Ubiquitin Proteasome Pathway, S100 Proteins
Vous êtes ici:
Chat with us!