Tel:
+49 (0)241 95 163 153
Fax:
+49 (0)241 95 163 155
E-Mail:
orders@anticorps-enligne.fr

Collagen Type I Kits ELISA

(Collagen, Type I (COL1))

Choisissez l’un des 37 kits ELISA Collagen Type I de notre catalogue basés sur 71 publications et 18 images de validation.

Découvrez des anticorps Collagen Type I fiables issus d’une vaste sélection de fabricants renommés. Notre portefeuille permet une détection précise de Collagen Type I dans plusieurs espèces, y compris Human, Rat, Mouse, Rabbit, Cow, Goat, Pig, Chicken, Dog, Guinea Pig, Monkey, Sheep, et prend en charge diverses applications de recherche telles que .

Trouvez rapidement l’anticorps le plus adapté grâce à nos outils de recherche, de filtrage et de comparaison. Chaque page produit fournit des données de validation détaillées, des références bibliographiques et des retours d’utilisateurs. Contrairement aux plateformes exclusivement comparatives, notre site vous permet d’acheter directement les anticorps sélectionnés, garantissant un processus d’approvisionnement fluide et efficace. Choisissez parmi des anticorps polyclonaux, monoclonaux ou recombinants Collagen Type I, issus de différents hôtes tels que . Parcourez nos produits ci-dessous et commandez directement pour soutenir vos recherches en toute confiance.

Les noms alternatifs de Collagen Type I sont COL3A1.

37 Résultats

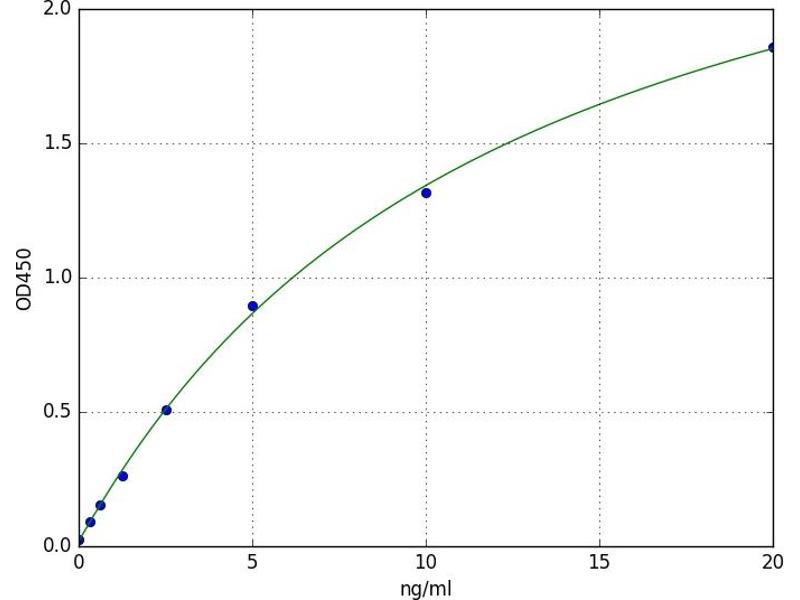
COL1 Reactivité: Humain Colorimetric Sandwich ELISA 0.15 ng/mL - 10 ng/mL Cell Culture Supernatant, Cell Lysate, Plasma, Serum, Tissue Homogenate
Pubmed 31 références
N° du produit ABIN6954910
770,00 €
Plus frais de livraison 40,00 € et TVA
96 tests (Autres quantités disponibles)
Destination: France
Envoi sous 10 à 13 jours ouvrables
 
COL1 Reactivité: Rat Colorimetric Sandwich ELISA 0.62 ng/mL - 40 ng/mL Plasma, Serum
Pubmed 14 références
N° du produit ABIN6954912
836,00 €
Plus frais de livraison 40,00 € et TVA
96 tests (Autres quantités disponibles)
Destination: France
Envoi sous 10 à 13 jours ouvrables
 
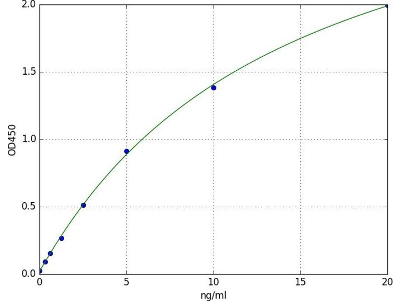
COL1 Reactivité: Humain Colorimetric Sandwich ELISA 1.56 ng/mL - 100 ng/mL Cell Culture Supernatant, Serum, Tissue Homogenate, Urine
Pubmed 6 références
N° du produit ABIN6974281
697,92 €
Plus frais de livraison 40,00 € et TVA
96 tests (Autres quantités disponibles)
Destination: France
Envoi sous 11 à 15 jours ouvrables
 
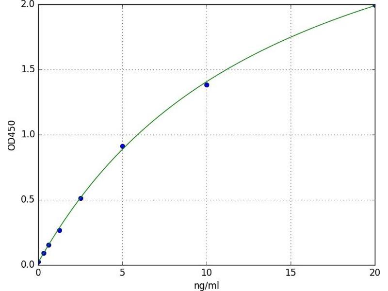
COL1 Reactivité: Rat Colorimetric Sandwich ELISA 7.81 ng/mL - 500 ng/mL Cell Culture Supernatant, Plasma, Serum
Pubmed 1 reference
N° du produit ABIN6963329
659,00 €
Plus frais de livraison 40,00 € et TVA
96 tests (Autres quantités disponibles)
Destination: France
Envoi sous 9 à 13 jours ouvrables
 
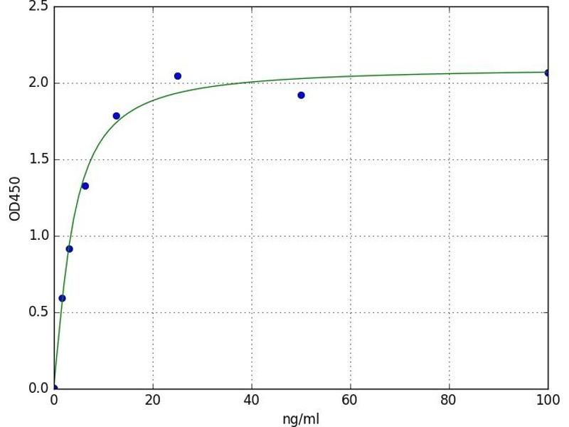
COL1 Reactivité: Souris Colorimetric Sandwich ELISA 31.2 pg/mL - 2000 pg/mL Cell Culture Supernatant, Cell Lysate, Plasma, Serum, Tissue Homogenate
Pubmed 9 références
N° du produit ABIN6954911
792,00 €
Plus frais de livraison 40,00 € et TVA
96 tests (Autres quantités disponibles)
Destination: France
Envoi sous 10 à 13 jours ouvrables
 
High Sensitivity COL1 Reactivité: Humain Colorimetric Sandwich ELISA 15.6 pg/mL - 1000 pg/mL Plasma, Serum
N° du produit ABIN6999392
855,56 €
Plus frais de livraison 40,00 € et TVA
96 tests (Autres quantités disponibles)
Destination: France
Envoi sous 10 à 13 jours ouvrables
 
COL1 Reactivité: Lapin Colorimetric Sandwich ELISA 31.2 pg/mL - 2000 pg/mL Cell Culture Supernatant, Cell Lysate, Plasma, Serum, Tissue Homogenate
N° du produit ABIN6954913
836,00 €
Plus frais de livraison 40,00 € et TVA
96 tests (Autres quantités disponibles)
Destination: France
Envoi sous 10 à 13 jours ouvrables
 
COL1 Reactivité: Porc Colorimetric Sandwich ELISA 78 pg/mL - 5000 pg/mL Plasma, Serum, Tissue Homogenate
N° du produit ABIN6976229
918,45 €
Plus frais de livraison 40,00 € et TVA
96 tests (Autres quantités disponibles)
Destination: France
Envoi sous 11 à 15 jours ouvrables
 
COL1 Reactivité: Lapin Colorimetric Sandwich ELISA 0.156 ng/mL - 10 ng/mL Plasma, Serum, Tissue Homogenate
N° du produit ABIN6973361
697,92 €
Plus frais de livraison 40,00 € et TVA
96 tests (Autres quantités disponibles)
Destination: France
Envoi sous 11 à 15 jours ouvrables
 
COL1 Reactivité: Souris Colorimetric Sandwich ELISA 0.313 ng/mL - 20 ng/mL Plasma, Serum, Tissue Homogenate
N° du produit ABIN6965927
481,54 €
Plus frais de livraison 40,00 € et TVA
96 tests
Destination: France
Envoi sous 11 à 15 jours ouvrables
 
COL1 Reactivité: Rat Colorimetric Sandwich ELISA 0.156 ng/mL - 10 ng/mL Plasma, Serum, Tissue Homogenate
N° du produit ABIN6965928
481,54 €
Plus frais de livraison 40,00 € et TVA
96 tests
Destination: France
Envoi sous 11 à 15 jours ouvrables
 
COL1 Reactivité: Humain Colorimetric Sandwich ELISA 0.313 ng/mL - 20 ng/mL Plasma, Serum, Tissue Homogenate
N° du produit ABIN6965929
481,54 €
Plus frais de livraison 40,00 € et TVA
96 tests
Destination: France
Envoi sous 11 à 15 jours ouvrables
 
COL1 Reactivité: Rat Colorimetric Sandwich ELISA 78-5000 pg/mL Plasma, Serum, Tissue Homogenate
Pubmed 6 références
N° du produit ABIN368059
697,92 €
Plus frais de livraison 40,00 € et TVA
96 tests (Autres quantités disponibles)
Destination: France
Envoi sous 11 à 15 jours ouvrables
 
High Sensitivity COL1 Reactivité: Humain Colorimetric Sandwich ELISA 15.6 pg/mL - 1000 pg/mL Plasma, Serum, Tissue Homogenate
N° du produit ABIN5564692
855,56 €
Plus frais de livraison 40,00 € et TVA
96 tests
Destination: France
Envoi sous 11 à 15 jours ouvrables
 
COL1 Reactivité: Lapin Colorimetric Sandwich ELISA 50-1000 ng/mL Cell Culture Supernatant, Plasma, Serum, Tissue Homogenate
Pubmed 2 références
N° du produit ABIN628250
657,14 €
Plus frais de livraison 40,00 € et TVA
96 tests
Destination: France
Envoi sous 13 à 17 jours ouvrables
 
COL1 Reactivité: Porc Colorimetric Competition ELISA 30-1000 ng/mL Cell Culture Supernatant, Plasma, Serum, Tissue Homogenate
N° du produit ABIN510957
657,14 €
Plus frais de livraison 40,00 € et TVA
96 tests
Destination: France
Envoi sous 13 à 17 jours ouvrables
 
COL1 Reactivité: Humain Colorimetric Sandwich ELISA 0.31 ng/mL - 20 ng/mL
N° du produit ABIN5696522
481,54 €
Plus frais de livraison 40,00 € et TVA
96 tests
Destination: France
Envoi sous 11 à 15 jours ouvrables
 
COL1 Reactivité: Rat Colorimetric Sandwich ELISA 0.15 ng/mL - 10 ng/mL
N° du produit ABIN5696524
481,54 €
Plus frais de livraison 40,00 € et TVA
96 tests
Destination: France
Envoi sous 11 à 15 jours ouvrables
 
COL1 Reactivité: Souris Colorimetric Sandwich ELISA 0.313 ng/mL - 20 ng/mL Plasma, Serum, Tissue Homogenate
N° du produit ABIN5696523
481,54 €
Plus frais de livraison 40,00 € et TVA
96 tests
Destination: France
Envoi sous 11 à 15 jours ouvrables
 
COL1 Reactivité: Souris Colorimetric Sandwich ELISA 0.156-10 ng/mL Cell Culture Supernatant, Plasma, Serum, Tissue Homogenate
Pubmed 2 références
N° du produit ABIN367798
697,92 €
Plus frais de livraison 40,00 € et TVA
96 tests (Autres quantités disponibles)
Destination: France
Envoi sous 11 à 15 jours ouvrables
 
  • Type Kit
    • Kit
  • Application ELISA
    • ELISA
  • Réactivité
    • Human
    • Rat
    • Mouse
    • Rabbit
    • Cow
    • Goat
    • Pig
    • Chicken
    • Dog
    • Guinea Pig
    • Monkey
    • Sheep
  • Cité dans publications
  • Images disponible
  • Type de méthode
    • Sandwich ELISA
    • Competition ELISA
  • Analytical Method
    • Quantitative
  • Méthode de détection
    • Colorimetric
  • Plate
    • Pre-coated
    • Pre-coated,Strips (12 x 8)
    • Strips (12 x 8)
  • Epitope
    • C-Term
  • Conjugué
    • Inconjugué
  • Sample
    • Serum
    • Plasma
    • Tissue Homogenate
    • Cell Culture Supernatant
    • Cell Lysate
    • Tissue Lysate
    • Urine
  • Grade
    • High Sensitivity
    • QuickTest
  • Supplier
    • Blue Gene
    • antibodies-online
    • Wuhan Fine biotech
    • USBio
    • CUSABIO
    • Cloud-Clone

Dernières publications pour nos Collagen Type I Kits ELISA

Aguado-Alvaro, Garitano, Esser-Skala, Sayers, Del Valle, Alameda, Mendieta-Esteban, Calleja-Cervantes, Goñi-Salaverri, Zazpe, de Vito, Marchese, Alignani, Cudini, Gross, Rábago, Narayan, Martinez, Martinez, Huntly, Riley, Gonzalez, Taylor-King, Fortelny, : "Identification of epigenetic regulators of fibrotic transformation in cardiac fibroblasts through bulk and single-cell CRISPR screens." dans: Nature communications, Vol. 16, Issue 1, pp. 11660, (2025) (PubMed).

Paganelli, Benassi, Rossi, Magnoni: "Extracellular matrix deposition by adipose-derived stem cells and fibroblasts: a comparative study." dans: Archives of dermatological research, Vol. 312, Issue 4, pp. 295-299, (2021) (PubMed).

Tan, Al-Rubeai: "A multifunctional dexamethasone-delivery implant fabricated using atmospheric plasma and its effects on apoptosis, osteogenesis and inflammation." dans: Drug delivery and translational research, Vol. 11, Issue 1, pp. 86-102, (2021) (PubMed).

Kuo, Lin, Chao, Wu, Tseng, Chang, Liou, Wang: "Serum sclerostin levels are positively related to bone mineral density in peritoneal dialysis patients: a cross-sectional study." dans: BMC nephrology, Vol. 20, Issue 1, pp. 266, (2020) (PubMed).

Liu, Zhu, Pei, Zhang, Cheng, Hu, Gao, Wang, Chen, Wan: "ZIF-8-Modified Multifunctional Bone-Adhesive Hydrogels Promoting Angiogenesis and Osteogenesis for Bone Regeneration." dans: ACS applied materials & interfaces, Vol. 12, Issue 33, pp. 36978-36995, (2020) (PubMed).

Sun, Ji, Ma, Zhu, Chen, Wang, Qian, Wu, Hu, Huang, Zhang: "Epithelial-Mesenchymal Transition in Asthma Airway Remodeling Is Regulated by the IL-33/CD146 Axis." dans: Frontiers in immunology, Vol. 11, pp. 1598, (2020) (PubMed).

Wang, Liu, Liang, Yang, Liu, Li, Guo, Wang, Liu, Chen: "Effects of Secreted frizzled-related protein 1 on inhibiting cardiac remodeling." dans: European review for medical and pharmacological sciences, Vol. 24, Issue 11, pp. 6270-6278, (2020) (PubMed).

Sun, Mei, Mo, Xin, Lei, Huang, Chen, Han, Zhu: "Lead exposure inhibits osteoblastic differentiation and inactivates the canonical Wnt signal and recovery by icaritin in MC3T3-E1 subclone 14 cells." dans: Chemico-biological interactions, Vol. 303, pp. 7-13, (2019) (PubMed).

Zhao, Xie, Zhang, Tang, Chen, Zhu, Fan, Yang, Zhang: "Selective effect of hydroxyapatite nanoparticles on osteoporotic and healthy bone formation correlates with intracellular calcium homeostasis regulation." dans: Acta biomaterialia, Vol. 59, pp. 338-350, (2018) (PubMed).

Bono, Tarsini, Candiani: "Demineralized dentin and enamel matrices as suitable substrates for bone regeneration." dans: Journal of applied biomaterials & functional materials, Vol. 15, Issue 3, pp. e236-e243, (2018) (PubMed).

Pseudonymes pour Collagen Type I Kits ELISA

collagen type III alpha 1 chain (COL3A1) Kits ELISA
Vous êtes ici:
Chat with us!