Tel:
+49 (0)241 95 163 153
Fax:
+49 (0)241 95 163 155
E-Mail:
orders@anticorps-enligne.fr

Caspase 3 Kit ELISA

Ce kit ELISA Colorimetric est destiné à la mesure quantitative de Souris Caspase 3. Il a été cité dans 1 publication.
N° du produit ABIN5524447
481,54 €
Plus frais de livraison 40,00 € et TVA
96 tests
Destination: France
Envoi sous 11 à 15 jours ouvrables

Aperçu rapide pour Caspase 3 Kit ELISA (ABIN5524447)

Antigène

Voir toutes Caspase 3 (CASP3) Kits ELISA
Caspase 3 (CASP3)

Reactivité

  • 20
  • 13
  • 8
  • 4
  • 3
  • 3
  • 2
  • 2
  • 1
  • 1
  • 1
  • 1
Souris

Méthode de détection

Colorimetric

Type de méthode

Sandwich ELISA

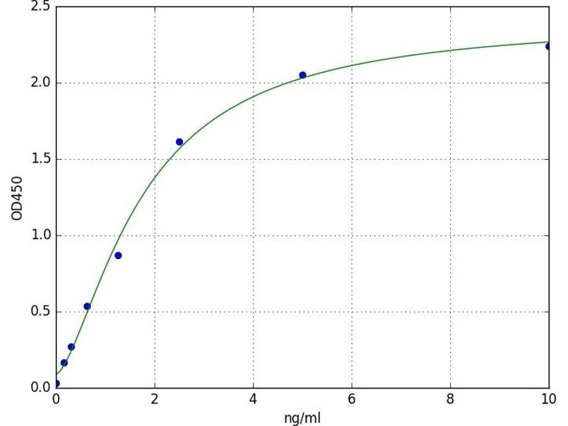
Gamme de detection

0.156 ng/mL - 10 ng/mL

Application

ELISA

Type d'échantillon

Plasma, Serum, Tissue Homogenate
  • Seuil minimal de détection

    0.156 ng/mL

    Fonction

    For quantitative detection of Casp3 in serum, plasma, tissue homogenates.

    Analytical Method

    Quantitative

    Specificité

    This assay has high sensitivity and excellent specificity for detection of Casp3. No significant cross-reactivity or interference between Casp3 and analogues was observed. Note: Limited by current skills and knowledge, it is difficult for us to complete the cross-reactivity detection between Casp3 and all the analogues, therefore, cross reaction may still exist.

    Sensibilité

    0.094 ng/mL

    Ingrédients

    - ELISA Microplate
    - Lyophilized Standard
    - Sample / Standard Dilution Buffer
    - Biotin-labeled Antibody (Concentrated)
    - Antibody Dilution Buffer
    - HRP-Streptavidin Conjugate(SABC)
    - SABC Dilution Buffer
    - TMB Substrate
    - Stop Solution
    - Wash Buffer (25X)
    - Plate Sealer
    - Product Description
  • Indications d'application

    Optimal working dilution should be determined by the investigator.

    Commentaires

    Sandwich ELISA, Double Antibody

    Volume d'échantillon

    100 μL

    Plaque

    Pre-coated

    Restrictions

    For Research Use only
  • Stock

    4 °C

    Stockage commentaire

    1. For unopened kit: All the reagents should be kept according to the labels on vials. The Reference Standard and the 96-well stripe plate should be stored at -20 °C upon receipt while the other reagents should be stored at 4 °C.
    2. For used kit: When the kit is used, the remaining reagents need to be stored according to the above storage condition. Besides, please return the unused wells to the foil pouch containing the desiccant pack, and zip-seal the foil pouch.

    Date de péremption

    6 months
  • De Cillà, Vezzola, Farruggio, Vujosevic, Clemente, Raina, Mary, Casini, Rossetti, Avagliano, Martinelli, Bulfamante, Grossini: "The subthreshold micropulse laser treatment of the retina restores the oxidant/antioxidant balance and counteracts programmed forms of cell death in the mice eyes." dans: Acta ophthalmologica, (2018) (PubMed).

  • Antigène Voir toutes Caspase 3 (CASP3) Kits ELISA

    Caspase 3 (CASP3)

    Autre désignation

    Casp3

    Sujet

    Casp3/CASP3/CPP32/CPP32B/SCA-1/Apoptain/Yama/Apopain/LICE-1/YAMA/Apopain/apoptosis-related cysteine protease/CASP-3/caspase 3, apoptosis-related cysteine peptidase/caspase-3/CPP-32/CPP32/SREBP cleavage activity 1/Cysteine protease CPP32/PARP cleavage prot

    UniProt

    P70677

    Pathways

    Apoptose, Caspase Cascade in Apoptosis, Sensory Perception of Sound, ER-Nucleus Signaling, Positive Regulation of Endopeptidase Activity, Activated T Cell Proliferation
Vous êtes ici:
Chat with us!