Tel:
+49 (0)241 95 163 153
Fax:
+49 (0)241 95 163 155
E-Mail:
orders@anticorps-enligne.fr

Luteinizing Hormone Kits ELISA

(Luteinizing Hormone (LH))

Choisissez l’un des 50 kits ELISA Luteinizing Hormone de notre catalogue basés sur 75 publications et 40 images de validation.

Découvrez des anticorps Luteinizing Hormone fiables issus d’une vaste sélection de fabricants renommés. Notre portefeuille permet une détection précise de Luteinizing Hormone dans plusieurs espèces, y compris Mouse, Rat, Pig, Human, Cow, Chicken, Dog, Goat, Monkey, Rabbit, Sheep, Guinea Pig, Horse, Rhesus Monkey, et prend en charge diverses applications de recherche telles que .

Trouvez rapidement l’anticorps le plus adapté grâce à nos outils de recherche, de filtrage et de comparaison. Chaque page produit fournit des données de validation détaillées, des références bibliographiques et des retours d’utilisateurs. Contrairement aux plateformes exclusivement comparatives, notre site vous permet d’acheter directement les anticorps sélectionnés, garantissant un processus d’approvisionnement fluide et efficace. Choisissez parmi des anticorps polyclonaux, monoclonaux ou recombinants Luteinizing Hormone, issus de différents hôtes tels que . Parcourez nos produits ci-dessous et commandez directement pour soutenir vos recherches en toute confiance.

Les noms alternatifs de Luteinizing Hormone sont .

50 Résultats

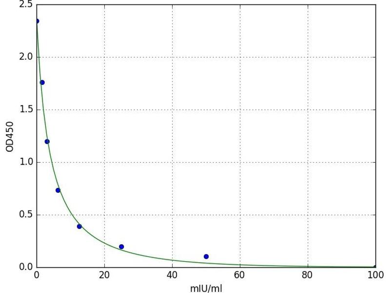
LH Reactivité: Mouton Colorimetric Sandwich ELISA 0.938 mIU/mL - 60 mIU/mL Plasma, Serum, Tissue Homogenate
N° du produit ABIN6968370
641,23 €
Plus frais de livraison 40,00 € et TVA
96 tests
Destination: France
Envoi sous 11 à 15 jours ouvrables
 
LH Reactivité: Cheval Colorimetric Competition ELISA 1.563 mIU/mL - 100 mIU/mL Plasma, Serum, Tissue Homogenate
N° du produit ABIN6968371
652,31 €
Plus frais de livraison 40,00 € et TVA
96 tests
Destination: France
Envoi sous 11 à 15 jours ouvrables
 
LH Reactivité: Poulet Colorimetric Competition ELISA 15.625 pg/mL - 1000 pg/mL Plasma, Serum, Tissue Homogenate
N° du produit ABIN6968362
641,23 €
Plus frais de livraison 40,00 € et TVA
96 tests
Destination: France
Envoi sous 11 à 15 jours ouvrables
 
LH Reactivité: Humain Colorimetric Sandwich ELISA 0.938 mIU/mL - 60 mIU/mL Plasma, Serum, Tissue Homogenate
N° du produit ABIN6968363
576,62 €
Plus frais de livraison 40,00 € et TVA
96 tests
Destination: France
Envoi sous 11 à 15 jours ouvrables
 
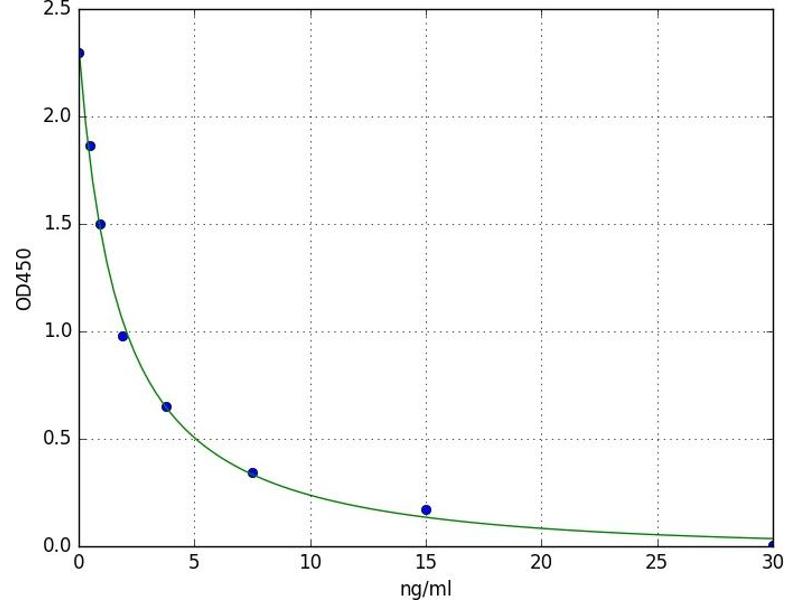
LH Reactivité: Porc Colorimetric Competition ELISA 0.781 ng/mL - 50 ng/mL Plasma, Serum, Tissue Homogenate
N° du produit ABIN6968365
481,54 €
Plus frais de livraison 40,00 € et TVA
96 tests
Destination: France
Envoi sous 11 à 15 jours ouvrables
 
LH Reactivité: Boeuf (Vache) Colorimetric Competition ELISA 1.563 mIU/mL - 100 mIU/mL Plasma, Serum, Tissue Homogenate
N° du produit ABIN6968367
641,23 €
Plus frais de livraison 40,00 € et TVA
96 tests
Destination: France
Envoi sous 11 à 15 jours ouvrables
 
LH Reactivité: Souris Colorimetric Competition ELISA 0.469 ng/mL - 30 ng/mL Plasma, Serum, Tissue Homogenate
N° du produit ABIN6968364
481,54 €
Plus frais de livraison 40,00 € et TVA
96 tests
Destination: France
Envoi sous 11 à 15 jours ouvrables
 
LH Reactivité: Singe Colorimetric Sandwich ELISA 2-75 mIU/mL Plasma, Serum, Tissue Homogenate
Pubmed 1 reference
N° du produit ABIN1095200
669,64 €
Plus frais de livraison 40,00 € et TVA
96 tests (Autres quantités disponibles)
Destination: France
Envoi sous 11 à 15 jours ouvrables
 
LH Reactivité: Rat Colorimetric Competition ELISA 0.313 mIU/mL - 20 mIU/mL Plasma, Serum, Tissue Homogenate
Pubmed 1 reference
N° du produit ABIN5523391
481,54 €
Plus frais de livraison 40,00 € et TVA
96 tests
Destination: France
Envoi sous 11 à 15 jours ouvrables
 
LH Reactivité: Souris Colorimetric Sandwich ELISA 2-75 mIU/mL Plasma, Serum, Tissue Homogenate
Pubmed 1 reference
N° du produit ABIN365659
669,64 €
Plus frais de livraison 40,00 € et TVA
96 tests (Autres quantités disponibles)
Destination: France
Envoi sous 11 à 15 jours ouvrables
 
LH Reactivité: Porc Colorimetric Sandwich ELISA 0.781 ng/mL - 50 ng/mL Plasma, Serum
N° du produit ABIN1563756
638,00 €
Plus frais de livraison 40,00 € et TVA
96 tests
Destination: France
Envoi sous 10 à 13 jours ouvrables
 
LH Reactivité: Chien Colorimetric Competition ELISA 0.75-60 mIU/mL Plasma, Serum, Tissue Homogenate
N° du produit ABIN364665
697,92 €
Plus frais de livraison 40,00 € et TVA
96 tests (Autres quantités disponibles)
Destination: France
Envoi sous 11 à 15 jours ouvrables
 
LH Reactivité: Souris Colorimetric Competition ELISA 0.469 ng/mL - 30 ng/mL Plasma, Serum, Tissue Homogenate
N° du produit ABIN5523389
481,54 €
Plus frais de livraison 40,00 € et TVA
96 tests
Destination: France
Envoi sous 11 à 15 jours ouvrables
 
LH Reactivité: Porc Colorimetric Sandwich ELISA 0.78 ng/mL - 50 ng/mL Plasma, Serum, Tissue Homogenate
N° du produit ABIN5523390
481,54 €
Plus frais de livraison 40,00 € et TVA
96 tests
Destination: France
Envoi sous 11 à 15 jours ouvrables
 
LH Reactivité: Macaque rhésus Colorimetric Competition ELISA 370.37 pg/mL - 30000 pg/mL Plasma, Serum
N° du produit ABIN5656508
1.434,14 €
Plus frais de livraison 40,00 € et TVA
96 tests
Destination: France
Envoi sous 12 à 18 jours ouvrables
 
LH Reactivité: Rat Colorimetric Sandwich ELISA Plasma, Serum, Tissue Homogenate
N° du produit ABIN5071801
1.063,75 €
Plus frais de livraison 40,00 € et TVA
96 tests (Autres quantités disponibles)
Destination: France
Envoi sous 20 à 27 jours ouvrables
 
LH Reactivité: Porc Colorimetric Competition ELISA 9.375 mIU/mL - 600 mIU/mL Cell Culture Supernatant, Cell Lysate, Plasma, Serum, Tissue Homogenate
N° du produit ABIN5518614
1.232,24 €
Plus frais de livraison 40,00 € et TVA
96 tests
Destination: France
Envoi sous 10 à 13 jours ouvrables
 
LH Reactivité: Rat Colorimetric Sandwich ELISA 2.5-50 ng/mL Cell Culture Supernatant, Plasma, Serum, Tissue Homogenate
N° du produit ABIN627258
657,14 €
Plus frais de livraison 40,00 € et TVA
96 tests
Destination: France
Envoi sous 13 à 17 jours ouvrables
 
LH Reactivité: Mouton Colorimetric Sandwich ELISA 5.0-100 ng/mL Cell Culture Supernatant, Plasma, Serum, Tissue Homogenate
N° du produit ABIN1055756
657,14 €
Plus frais de livraison 40,00 € et TVA
96 tests
Destination: France
Envoi sous 13 à 17 jours ouvrables
 
LH Reactivité: Chévre Colorimetric Competition ELISA Cell Culture Supernatant, Plasma, Serum, Tissue Homogenate
N° du produit ABIN993572
657,14 €
Plus frais de livraison 40,00 € et TVA
96 tests
Destination: France
Envoi sous 13 à 17 jours ouvrables
 
  • Type Kit
    • Kit
  • Application ELISA
    • ELISA
  • Réactivité
    • Mouse
    • Rat
    • Pig
    • Human
    • Cow
    • Chicken
    • Dog
    • Goat
    • Monkey
    • Rabbit
    • Sheep
    • Guinea Pig
    • Horse
    • Rhesus Monkey
  • Cité dans publications
  • Images disponible
  • Independent Validation
  • Type de méthode
    • Competition ELISA
    • Sandwich ELISA
  • Analytical Method
    • Quantitative
    • Semi-Quantitative
  • Méthode de détection
    • Colorimetric
    • qPCR
  • Plate
    • Pre-coated
    • Strips (12 x 8)
  • Conjugué
    • Inconjugué
  • Sample
    • Plasma
    • Serum
    • Tissue Homogenate
    • Cell Culture Supernatant
    • Cell Lysate
  • Grade
    • High Sensitivity
    • Small Sample
  • Supplier
    • antibodies-online
    • Blue Gene
    • CUSABIO
    • Wuhan Fine biotech
    • DLDEVELOP
    • USBio
    • Biomatik
    • Elabscience
    • RayBiotech

Dernières publications pour nos Luteinizing Hormone Kits ELISA

Isola, Veiga, de Brito, Alvarado-Rincón, Garcia, Zanini, Hense, Vieira, Garratt, Gasperin, Schneider, Stout: "17α-estradiol does not adversely affect sperm parameters or fertility in male mice: implications for reproduction-longevity trade-offs." dans: GeroScience, (2022) (PubMed).

Sahin, Ozkurkculer, Kalkan, Bulmus, Bulmus, Kutlu: "Gonadotropin levels reduced in seven days immobilization stress-induced depressive-like behavior in female rats." dans: Journal of basic and clinical physiology and pharmacology, Vol. 33, Issue 2, pp. 199-206, (2022) (PubMed).

Adedara, Awogbindin, Maduako, Ajeleti, Owumi, Owoeye, Patlolla, Farombi: "Kolaviron suppresses dysfunctional reproductive axis associated with multi-walled carbon nanotubes exposure in male rats." dans: Environmental science and pollution research international, Vol. 28, Issue 1, pp. 354-364, (2021) (PubMed).

Owumi, Adedara, Farombi, Oyelere: "Protocatechuic acid modulates reproductive dysfunction linked to furan exposure in rats." dans: Toxicology, Vol. 442, pp. 152556, (2021) (PubMed).

El-Saka, Barhoma, Ibrahim, Elsaadany, Alghazaly, Elshwaikh, Marea, Madi: "Potential effect of adrenomedullin on metabolic and endocrinal dysfunctions in the experimentally induced polycystic ovary: Targeting implication of endoplasmic reticulum stress." dans: Journal of biochemical and molecular toxicology, Vol. 35, Issue 5, pp. e22725, (2021) (PubMed).

Jalalie, Rezaee, Rezaie, Jalili, Raoofi, Rustamzade: "Human umbilical cord mesenchymal stem cells improve morphometric and histopathologic changes of cyclophosphamide-injured ovarian follicles in mouse model of premature ovarian failure." dans: Acta histochemica, Vol. 123, Issue 1, pp. 151658, (2020) (PubMed).

Shishikura, Kuroha, Matsueda, Iseki, Matsui, Inoue, Arita: "Acyl-CoA synthetase 6 regulates long-chain polyunsaturated fatty acid composition of membrane phospholipids in spermatids and supports normal spermatogenic processes in mice." dans: FASEB journal : official publication of the Federation of American Societies for Experimental Biology, Vol. 33, Issue 12, pp. 14194-14203, (2020) (PubMed).

Cao, Liu, Zhang, Wang, Xiong, Wu, Chen: "Exposure of adult mice to perfluorobutanesulfonate impacts ovarian functions through hypothyroxinemia leading to down-regulation of Akt-mTOR signaling." dans: Chemosphere, Vol. 244, pp. 125497, (2020) (PubMed).

Krishnan, Muthusami, Periyasamy, Stanley, Gopalakrishnan, Ramachandran: "Effect of DHT-Induced Hyperandrogenism on the Pro-Inflammatory Cytokines in a Rat Model of Polycystic Ovary Morphology." dans: Medicina (Kaunas, Lithuania), Vol. 56, Issue 3, (2020) (PubMed).

Tang, Zhang, Liu, Zhou, Hu, Zhong, Wang, Chen: "Chronic exposure to low dose of bisphenol A causes follicular atresia by inhibiting kisspeptin neurons in anteroventral periventricular nucleus in female mice." dans: Neurotoxicology, Vol. 79, pp. 164-176, (2020) (PubMed).

Vous êtes ici:
Chat with us!