Tel:
+49 (0)241 95 163 153
Fax:
+49 (0)241 95 163 155
E-Mail:
orders@anticorps-enligne.fr

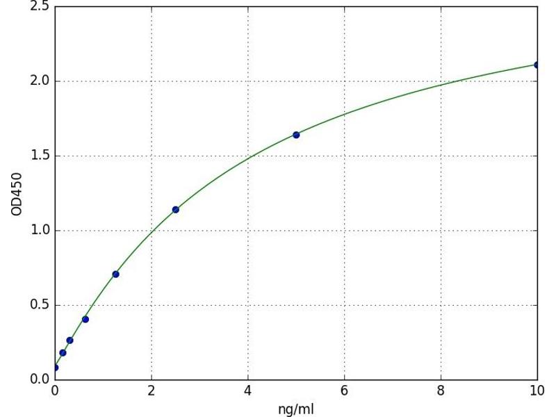
Insulin Kit ELISA

Ce kit ELISA Colorimetric est destiné à la mesure quantitative de Humain Insulin.
N° du produit ABIN5520031
481,54 €
Plus frais de livraison 40,00 € et TVA
96 tests
Destination: France
Envoi sous 11 à 15 jours ouvrables

Aperçu rapide pour Insulin Kit ELISA (ABIN5520031)

Antigène

Voir toutes Insulin (INS) Kits ELISA
Insulin (INS)

Reactivité

  • 24
  • 17
  • 16
  • 9
  • 8
  • 4
  • 4
  • 4
  • 3
  • 3
  • 3
  • 2
  • 2
  • 1
  • 1
Humain

Méthode de détection

Colorimetric

Type de méthode

Sandwich ELISA

Gamme de detection

7.813 pg/mL - 500 pg/mL

Application

ELISA

Type d'échantillon

Plasma, Serum, Tissue Homogenate
  • Seuil minimal de détection

    7.813 pg/mL

    Fonction

    For quantitative detection in serum, plasma, tissue homogenates and other biological fluids.

    Analytical Method

    Quantitative

    Specificité

    Insulin/INS

    Sensibilité

    4.688 pg/mL

    Ingrédients

    • Pre-coated, ready to use 96-well strip plate
    • Plate sealer for 96 wells
    • Standard
    • Sample/Standard Dilution Buffer
    • Biotin-labeled Antibody (Lyophilized)
    • Purified water
    • Antibody Dilution Buffer
    • HRP-Streptavidin Conjugate (SABC)
    • SABC Dilution Buffer
    • TMB Substrate
    • Stop Solution
    • Wash Buffer (25 x concentrate)
    • Instruction manual
  • Indications d'application

    Optimal working dilution should be determined by the investigator.

    Commentaires

    Sandwich ELISA, Double Antibody

    Volume d'échantillon

    100 μL

    Plaque

    Pre-coated

    Restrictions

    For Research Use only
  • Stock

    4 °C

    Stockage commentaire

    4 °C for 6 months

    Date de péremption

    6 months
  • Antigène Voir toutes Insulin (INS) Kits ELISA

    Insulin (INS)

    Autre désignation

    INS

    Sujet

    Insulin/INS

    UniProt

    P01308

    Pathways

    Signalisation NF-kappaB, Signalisation RTK, Positive Regulation of Peptide Hormone Secretion, Peptide Hormone Metabolism, Hormone Activity, Carbohydrate Homeostasis, ER-Nucleus Signaling, Regulation of Carbohydrate Metabolic Process, Feeding Behaviour, Autophagy, Negative Regulation of intrinsic apoptotic Signaling, Brown Fat Cell Differentiation, Positive Regulation of fat Cell Differentiation
Vous êtes ici:
Chat with us!