Tel:
+49 (0)241 95 163 153
Fax:
+49 (0)241 95 163 155
E-Mail:
orders@anticorps-enligne.fr

LILRA3 Anticorps

(Leukocyte Immunoglobulin-Like Receptor, Subfamily A (Without TM Domain), Member 3 (LILRA3))

Choisissez l’un des 26 anticorps LILRA3 de notre liste de produits basés sur 8 publications et 14 images de validation.

Découvrez des anticorps LILRA3 fiables issus d’une large sélection de fabricants renommés. Notre portefeuille permet une détection précise de LILRA3 dans plusieurs espèces, y compris Human, Cow, Mouse, Rat, et prend en charge diverses applications de recherche telles que WB, ELISA, FACS, IHC, IP.

Trouvez rapidement l’anticorps adapté grâce à nos outils de recherche, de filtrage et de comparaison. Chaque page produit fournit des données de validation détaillées, des références bibliographiques et des retours d’utilisateurs. Contrairement aux ressources dédiées uniquement à la comparaison, vous pouvez acheter directement les anticorps sur notre site. Choisissez parmi des anticorps polyclonaux, monoclonaux ou recombinants LILRA3, issus de différents hôtes tels que Rabbit, Mouse. Parcourez nos produits ci-dessous et commandez directement pour soutenir vos recherches en toute confiance.

Les noms alternatifs de LILRA3 sont LILRA3.

26 Résultats

LILRA3 Reactivité: Humain ELISA, FACS Hôte: Souris Monoclonal 6F12D7 unconjugated
N° du produit ABIN5684140
657,84 €
Plus frais de livraison 40,00 € et TVA
100 μL
Destination: France
Envoi sous 7 à 10 jours ouvrables
 
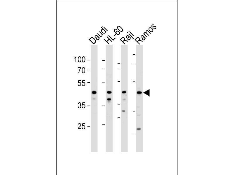
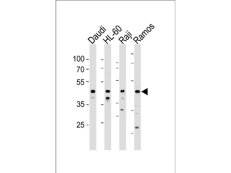
LILRA3 Reactivité: Humain WB, ELISA Hôte: Souris Monoclonal 2E9 unconjugated
Pubmed 5 références
N° du produit ABIN564777
651,20 €
Plus frais de livraison 40,00 € et TVA
100 μg
Destination: France
Envoi sous 8 à 9 jours ouvrables
 
LILRA3 Reactivité: Humain WB Hôte: Lapin Polyclonal RB44596 unconjugated
Pubmed 3 références
N° du produit ABIN1881498
434,77 €
Plus frais de livraison 40,00 € et TVA
400 μL (Autres quantités disponibles)
Destination: France
Envoi sous 14 à 17 jours ouvrables
 
LILRA3 Reactivité: Humain WB, IHC, IP, ICC Hôte: Lapin Polyclonal unconjugated
N° du produit ABIN7433585
298,22 €
Plus frais de livraison 40,00 € et TVA
100 μL (Autres quantités disponibles)
Destination: France
Envoi sous 11 à 15 jours ouvrables
 
LILRA3 Reactivité: Humain WB, ELISA, IHC Hôte: Lapin Polyclonal unconjugated
N° du produit ABIN7158256
328,90 €
Plus frais de livraison 40,00 € et TVA
100 μg (Autres quantités disponibles)
Destination: France
Envoi sous 11 à 15 jours ouvrables
 
LILRA3 Reactivité: Humain WB Hôte: Lapin Polyclonal unconjugated
N° du produit ABIN524410
636,80 €
Plus frais de livraison 40,00 € et TVA
100 μg
Destination: France
Envoi sous 8 à 9 jours ouvrables
 
LILRA3 Reactivité: Humain WB Hôte: Souris Polyclonal unconjugated
N° du produit ABIN524409
651,20 €
Plus frais de livraison 40,00 € et TVA
50 μg
Destination: France
Envoi sous 8 à 9 jours ouvrables
 
LILRA3 Reactivité: Humain WB, IHC (p) Hôte: Lapin Polyclonal unconjugated
N° du produit ABIN7468545
765,00 €
Plus frais de livraison 40,00 € et TVA
100 μL
Destination: France
Envoi sous 7 à 10 jours ouvrables
 
LILRA3 Reactivité: Humain ELISA Hôte: Lapin Polyclonal HRP
N° du produit ABIN7158259
328,90 €
Plus frais de livraison 40,00 € et TVA
100 μg (Autres quantités disponibles)
Destination: France
Envoi sous 11 à 15 jours ouvrables
 
LILRA3 Reactivité: Humain Hôte: Lapin Polyclonal FITC
N° du produit ABIN7158258
328,90 €
Plus frais de livraison 40,00 € et TVA
100 μg (Autres quantités disponibles)
Destination: France
Envoi sous 11 à 15 jours ouvrables
 
LILRA3 Reactivité: Humain ELISA Hôte: Lapin Polyclonal Biotin
N° du produit ABIN7158257
328,90 €
Plus frais de livraison 40,00 € et TVA
100 μg (Autres quantités disponibles)
Destination: France
Envoi sous 11 à 15 jours ouvrables
 
LILRA3 Reactivité: Humain WB, ELISA Hôte: Souris Monoclonal unconjugated
N° du produit ABIN2612929
1.278,75 €
Plus frais de livraison 40,00 € et TVA
100 μg
Destination: France
Envoi sous 15 à 20 jours ouvrables
 
LILRA3 Reactivité: Humain WB Hôte: Lapin Polyclonal unconjugated
N° du produit ABIN2612930
1.353,77 €
Plus frais de livraison 40,00 € et TVA
100 μg
Destination: France
Envoi sous 15 à 20 jours ouvrables
 
LILRA3 Reactivité: Humain WB Hôte: Souris Polyclonal unconjugated
N° du produit ABIN2612928
1.278,75 €
Plus frais de livraison 40,00 € et TVA
50 μg
Destination: France
Envoi sous 15 à 20 jours ouvrables
 
LILRA3 Reactivité: Humain WB Hôte: Lapin Polyclonal unconjugated
N° du produit ABIN1839428
734,86 €
Plus frais de livraison 40,00 € et TVA
400 μL
Destination: France
Envoi sous 15 à 20 jours ouvrables
 
LILRA3 Reactivité: Humain WB Hôte: Lapin Polyclonal unconjugated
N° du produit ABIN6749420
789,41 €
Plus frais de livraison 40,00 € et TVA
100 μL
Destination: France
Envoi sous 15 à 20 jours ouvrables
 
LILRA3 Reactivité: Humain, Boeuf (Vache) WB Hôte: Lapin Polyclonal unconjugated
N° du produit ABIN2790113
534,11 €
Plus frais de livraison 40,00 € et TVA
100 μL (Autres quantités disponibles)
Destination: France
Envoi sous 6 à 9 jours ouvrables
 
LILRA3 Reactivité: Humain, Souris, Rat WB, ELISA, IHC Hôte: Lapin Polyclonal unconjugated
N° du produit ABIN6115959
628,83 €
Plus frais de livraison 40,00 € et TVA
100 μL (Autres quantités disponibles)
Destination: France
Envoi sous 7 à 15 jours ouvrables
 
LILRA3 Reactivité: Humain ELISA Hôte: Lapin Polyclonal FITC
N° du produit ABIN6111521
628,83 €
Plus frais de livraison 40,00 € et TVA
100 μL (Autres quantités disponibles)
Destination: France
Envoi sous 7 à 15 jours ouvrables
 
LILRA3 Reactivité: Humain FACS Hôte: Lapin Polyclonal FITC
N° du produit ABIN6349399
879,08 €
Plus frais de livraison 40,00 € et TVA
200 tests (Autres quantités disponibles)
Destination: France
Envoi sous 7 à 15 jours ouvrables
 
  • Type Primary
    • Primary
  • Application
    • Western Blotting (WB)
    • ELISA
    • Flow Cytometry (FACS)
    • Immunohistochemistry (IHC)
    • Immunoprecipitation (IP)
    • Immunocytochemistry (ICC)
    • Immunohistochemistry (Paraffin-embedded Sections) (IHC (p))
    • Immunofluorescence (fixed cells) (IF/ICC)
  • Réactivité
    • Human
    • Cow
    • Mouse
    • Rat
  • Cité dans publications
  • Images disponible
  • Carrier free only
  • Hote
    • Rabbit
    • Mouse
  • Clonalité
    • Polyclonal
    • Monoclonal
  • Clone
    • 2E9
    • 6F12D7
    • RB44596
  • Epitope
    • AA 222-313
    • AA 1-439
    • C-Term
    • AA 350-378
    • AA 1-440
    • AA 219-438
    • AA 24-168
    • AA 362-411
  • Conjugué
    • Inconjugué
    • FITC
    • APC
    • Biotin
    • HRP
    • PE
  • Isotype
    • IgG
    • IgG1
    • Ig Fraction
    • IgG1 kappa
  • Format
    • Liquid
    • Lyophilized
  • Supplier
    • antibodies-online
    • Abbexa
    • Aviva Systems Biology
    • Cohesion Biosciences
    • ProteoGenix

Dernières publications pour nos LILRA3 Anticorps

An, Brettle, Lee, Heng, Lim, Guillemin, Lord, Klotzsch, Geczy, Bryant, Fath, Tedla: "Soluble LILRA3 promotes neurite outgrowth and synapses formation through a high-affinity interaction with Nogo 66." dans: Journal of cell science, Vol. 129, Issue 6, pp. 1198-209, (2016) (PubMed).

An, Lim, Guillemin, Vollmer-Conna, Rawlinson, Bryant, Tedla et al.: "Serum Leukocyte Immunoglobulin-Like Receptor A3 (LILRA3) Is Increased in Patients with Multiple Sclerosis and Is a Strong Independent Indicator of Disease Severity; 6.7kbp LILRA3 Gene Deletion Is Not ..." dans: PLoS ONE, Vol. 11, Issue 2, pp. e0149200, (2016) (PubMed).

Low, Ahrenstorf, Pommerenke, Habermann, Schughart, Ordóñez, Stripecke, Wilk, Witte: "TLR8 regulation of LILRA3 in monocytes is abrogated in human immunodeficiency virus infection and correlates to CD4 counts and virus loads." dans: Retrovirology, Vol. 13, pp. 15, (2016) (PubMed).

Lee, Mitchell, Liu Lau, An, Rajeaskariah, Wasinger, Raftery, Bryant, Tedla: "Glycosylation in a mammalian expression system is critical for the production of functionally active leukocyte immunoglobulin-like receptor A3 protein." dans: The Journal of biological chemistry, Vol. 288, Issue 46, pp. 32873-85, (2013) (PubMed).

An, Chandra, Piraino, Borges, Geczy, McNeil, Bryant, Tedla et al.: "Soluble LILRA3, a potential natural antiinflammatory protein, is increased in patients with rheumatoid arthritis and is tightly regulated by interleukin 10, tumor necrosis factor-alpha, and ..." dans: The Journal of rheumatology, Vol. 37, Issue 8, pp. 1596-606, (2010) (PubMed).

Norman, Carey, Stephens, Vaughan: "DNA sequence variation and molecular genotyping of natural killer leukocyte immunoglobulin-like receptor, LILRA3." dans: Immunogenetics, Vol. 55, Issue 3, pp. 165-71, (2003) (PubMed).

Borges, Hsu, Fanger, Kubin, Cosman: "A family of human lymphoid and myeloid Ig-like receptors, some of which bind to MHC class I molecules." dans: Journal of immunology (Baltimore, Md. : 1950), Vol. 159, Issue 11, pp. 5192-6, (1998) (PubMed).

Arm, Nwankwo, Austen: "Molecular identification of a novel family of human Ig superfamily members that possess immunoreceptor tyrosine-based inhibition motifs and homology to the mouse gp49B1 inhibitory receptor." dans: Journal of immunology (Baltimore, Md. : 1950), Vol. 159, Issue 5, pp. 2342-9, (1997) (PubMed).

Pseudonymes pour LILRA3 Anticorps

leukocyte immunoglobulin like receptor A3 (LILRA3) Anticorps
CD85E Anticorps
e3 Anticorps
HM31 Anticorps
HM43 Anticorps
ILT-6 Anticorps
ILT6 Anticorps
LIR-4 Anticorps
LIR4 Anticorps
Vous êtes ici:
Chat with us!